login  home  contents  what's new  discussion  bug reports     help  links  subscribe  changes  refresh  edit

Edit detail for #211 Products are differentiated incorrectly revision 1 of 1

1
Editor:
Time: 2007/11/17 22:09:23 GMT-8
Note: fixed in Patch 46 or so

changed:
-
\begin{axiom}
D(product((1-q^(n-i))/(1-q^(m-i)),i=0..m-1),q)
f:=operator 'f;
D(product(f(i,q),i=0..m),q)
\end{axiom}

I'll try to correct this tomorrow...

Martin

From kratt6 Tue Oct 4 07:36:46 -0500 2005
From: kratt6
Date: Tue, 04 Oct 2005 07:36:46 -0500
Subject: fix
Message-ID: <20051004073646-0500@wiki.axiom-developer.org>
In-Reply-To: ->

Fortunately, a fix is quite easy, since we know how to differentiate products according to Leibniz rule: Here is a patch to 'combfunc.spad.pamphlet' that also fixes some leftover problems with differentiating sums without bounds and displaying sums and products with and without bounds:

<a href="combfunc.spad.pamphlet.patch">combfunc.spad.pamphlet.patch</a>

From kratt6 Tue Oct 4 07:38:49 -0500 2005
From: kratt6
Date: Tue, 04 Oct 2005 07:38:49 -0500
Subject: property change
Message-ID: <20051004073849-0500@wiki.axiom-developer.org>

Status: open => fix proposed 


From BillPage Wed Jun 21 06:23:50 -0500 2006
From: Bill Page
Date: Wed, 21 Jun 2006 06:23:50 -0500
Subject: test April release
Message-ID: <20060621062350-0500@wiki.axiom-developer.org>

\begin{axiom}
)version
D(product((1-q^(n-i))/(1-q^(m-i)),i=0..m-1),q)
f:=operator 'f;
D(product(f(i,q),i=0..m),q)
\end{axiom}


From kratt6 Fri Oct 27 03:12:40 -0500 2006
From: kratt6
Date: Fri, 27 Oct 2006 03:12:40 -0500
Subject: fixed in Patch 46 or so
Message-ID: <20061027031240-0500@wiki.axiom-developer.org>

Status: fix proposed => closed 


Submitted by : (unknown) at: 2007-11-17T22:09:23-08:00 (17 years ago)
Name :
Axiom Version :
Category : Severity : Status :
Optional subject :  
Optional comment :

axiom
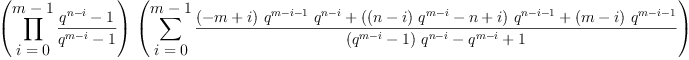
D(product((1-q^(n-i))/(1-q^(m-i)),i=0..m-1),q)

\label{eq1}{\left({\prod_{
\displaystyle
{i = 0}}^{
\displaystyle
{m - 1}}{{{q^{\left(n - i \right)}}- 1}\over{{q^{\left(m - i \right)}}- 1}}}\right)}\ {\left({\sum_{
\displaystyle
{i = 0}}^{
\displaystyle
{m - 1}}{{{{\left(- m + i \right)}\ {q^{\left(m - i - 1 \right)}}\ {q^{\left(n - i \right)}}}+{{\left({{\left(n - i \right)}\ {q^{\left(m - i \right)}}}- n + i \right)}\ {q^{\left(n - i - 1 \right)}}}+{{\left(m - i \right)}\ {q^{\left(m - i - 1 \right)}}}}\over{{{\left({q^{\left(m - i \right)}}- 1 \right)}\ {q^{\left(n - i \right)}}}-{q^{\left(m - i \right)}}+ 1}}}\right)}(1)
Type: Expression(Integer)
axiom
f:=operator 'f;
Type: BasicOperator?
axiom
D(product(f(i,q),i=0..m),q)

\label{eq2}{\left(\prod_{
\displaystyle
{i = 0}}^{
\displaystyle
m}{f \left({i , \: q}\right)}\right)}\ {\left(\sum_{
\displaystyle
{i = 0}}^{
\displaystyle
m}{{{f_{, 2}}\left({i , \: q}\right)}\over{f \left({i , \: q}\right)}}\right)}(2)
Type: Expression(Integer)

I'll try to correct this tomorrow...

Martin

Fortunately, a fix is quite easy, since we know how to differentiate products according to Leibniz rule: Here is a patch to combfunc.spad.pamphlet that also fixes some leftover problems with differentiating sums without bounds and displaying sums and products with and without bounds:

combfunc.spad.pamphlet.patch

property change --kratt6, Tue, 04 Oct 2005 07:38:49 -0500 reply
Status: open => fix proposed

test April release --Bill Page, Wed, 21 Jun 2006 06:23:50 -0500 reply
axiom
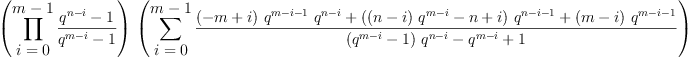
)version
Value = "FriCAS 2010-12-08 compiled at Tuesday April 5, 2011 at 13:07:45 " D(product((1-q^(n-i))/(1-q^(m-i)),i=0..m-1),q)

\label{eq3}{\left({\prod_{
\displaystyle
{i = 0}}^{
\displaystyle
{m - 1}}{{{q^{\left(n - i \right)}}- 1}\over{{q^{\left(m - i \right)}}- 1}}}\right)}\ {\left({\sum_{
\displaystyle
{i = 0}}^{
\displaystyle
{m - 1}}{{{{\left(- m + i \right)}\ {q^{\left(m - i - 1 \right)}}\ {q^{\left(n - i \right)}}}+{{\left({{\left(n - i \right)}\ {q^{\left(m - i \right)}}}- n + i \right)}\ {q^{\left(n - i - 1 \right)}}}+{{\left(m - i \right)}\ {q^{\left(m - i - 1 \right)}}}}\over{{{\left({q^{\left(m - i \right)}}- 1 \right)}\ {q^{\left(n - i \right)}}}-{q^{\left(m - i \right)}}+ 1}}}\right)}(3)
Type: Expression(Integer)
axiom
f:=operator 'f;
Type: BasicOperator?
axiom
D(product(f(i,q),i=0..m),q)

\label{eq4}{\left(\prod_{
\displaystyle
{i = 0}}^{
\displaystyle
m}{f \left({i , \: q}\right)}\right)}\ {\left(\sum_{
\displaystyle
{i = 0}}^{
\displaystyle
m}{{{f_{, 2}}\left({i , \: q}\right)}\over{f \left({i , \: q}\right)}}\right)}(4)
Type: Expression(Integer)

fixed in Patch 46 or so --kratt6, Fri, 27 Oct 2006 03:12:40 -0500 reply
Status: fix proposed => closed