login  home  contents  what's new  discussion  bug reports     help  links  subscribe  changes  refresh  edit

fricas
(1) -> integrate(sin(sqrt(x*x)),x)

\label{eq1}\frac{{{\tan \left({\frac{\sqrt{{x}^{2}}}{2}}\right)}^{2}}- 1}{{{\tan \left({\frac{\sqrt{{x}^{2}}}{2}}\right)}^{2}}+ 1}(1)
Type: Union(Expression(Integer),...)
fricas
D(%,x)

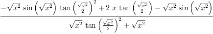
\label{eq2}\frac{2 \  x \ {\tan \left({\frac{\sqrt{{x}^{2}}}{2}}\right)}}{{{\sqrt{{x}^{2}}}\ {{\tan \left({\frac{\sqrt{{x}^{2}}}{2}}\right)}^{2}}}+{\sqrt{{x}^{2}}}}(2)
Type: Expression(Integer)
fricas
%-sin(sqrt(x*x))

\label{eq3}\frac{-{{\sqrt{{x}^{2}}}\ {\sin \left({\sqrt{{x}^{2}}}\right)}\ {{\tan \left({\frac{\sqrt{{x}^{2}}}{2}}\right)}^{2}}}+{2 \  x \ {\tan \left({\frac{\sqrt{{x}^{2}}}{2}}\right)}}-{{\sqrt{{x}^{2}}}\ {\sin \left({\sqrt{{x}^{2}}}\right)}}}{{{\sqrt{{x}^{2}}}\ {{\tan \left({\frac{\sqrt{{x}^{2}}}{2}}\right)}^{2}}}+{\sqrt{{x}^{2}}}}(3)
Type: Expression(Integer)
fricas
normalize %

\label{eq4}0(4)
Type: Expression(Integer)
fricas
)trace INTEF )math
Packages traced: ElementaryIntegration(Complex(Integer),Expression(Complex( Integer))) Parameterized constructors traced: INTEF integrate(sin(sqrt(x*x)),x)
1<enter ElementaryIntegration.lfintegrate,43 : %i x 2 - %i (%e ) + %i arg1 = ------------------- %i x 2 %e arg2 = x 2<enter ElementaryIntegration.lfintegrate,43 : arg1 = 0 arg2 = x 2>exit ElementaryIntegration.lfintegrate,43 : 0 1>exit ElementaryIntegration.lfintegrate,43 : %i x 2 - (%e ) - 1 --------------- %i x 2 %e

\label{eq5}\frac{{{\tan \left({\frac{\sqrt{{x}^{2}}}{2}}\right)}^{2}}- 1}{{{\tan \left({\frac{\sqrt{{x}^{2}}}{2}}\right)}^{2}}+ 1}(5)
Type: Union(Expression(Integer),...)
fricas
D(%,x)

\label{eq6}\frac{2 \  x \ {\tan \left({\frac{\sqrt{{x}^{2}}}{2}}\right)}}{{{\sqrt{{x}^{2}}}\ {{\tan \left({\frac{\sqrt{{x}^{2}}}{2}}\right)}^{2}}}+{\sqrt{{x}^{2}}}}(6)
Type: Expression(Integer)
fricas
%-sin(sqrt(x*x))

\label{eq7}\frac{-{{\sqrt{{x}^{2}}}\ {\sin \left({\sqrt{{x}^{2}}}\right)}\ {{\tan \left({\frac{\sqrt{{x}^{2}}}{2}}\right)}^{2}}}+{2 \  x \ {\tan \left({\frac{\sqrt{{x}^{2}}}{2}}\right)}}-{{\sqrt{{x}^{2}}}\ {\sin \left({\sqrt{{x}^{2}}}\right)}}}{{{\sqrt{{x}^{2}}}\ {{\tan \left({\frac{\sqrt{{x}^{2}}}{2}}\right)}^{2}}}+{\sqrt{{x}^{2}}}}(7)
Type: Expression(Integer)
fricas
normalize %

\label{eq8}0(8)
Type: Expression(Integer)
fricas
)trace INTEF )off
Nothing is traced now.
integrate(sin(sqrt(x*x)),x)

\label{eq9}\frac{{{\tan \left({\frac{x}{2}}\right)}^{2}}- 1}{{{\tan \left({\frac{x}{2}}\right)}^{2}}+ 1}(9)
Type: Union(Expression(Integer),...)
fricas
D(%,x)

\label{eq10}\frac{2 \ {\tan \left({\frac{x}{2}}\right)}}{{{\tan \left({\frac{x}{2}}\right)}^{2}}+ 1}(10)
Type: Expression(Integer)
fricas
%-sin(sqrt(x*x))

\label{eq11}\frac{{{\left(-{{\tan \left({\frac{x}{2}}\right)}^{2}}- 1 \right)}\ {\sin \left({\sqrt{{x}^{2}}}\right)}}+{2 \ {\tan \left({\frac{x}{2}}\right)}}}{{{\tan \left({\frac{x}{2}}\right)}^{2}}+ 1}(11)
Type: Expression(Integer)
fricas
normalize %

\label{eq12}\frac{-{2 \ {\tan \left({\frac{x - x}{2}}\right)}\ {{\tan \left({\frac{x}{2}}\right)}^{2}}}+{4 \ {{\tan \left({\frac{x - x}{2}}\right)}^{2}}\ {\tan \left({\frac{x}{2}}\right)}}+{2 \ {\tan \left({\frac{x - x}{2}}\right)}}}{{{\left({{\tan \left({\frac{x - x}{2}}\right)}^{2}}+ 1 \right)}\ {{\tan \left({\frac{x}{2}}\right)}^{2}}}+{{\tan \left({\frac{x - x}{2}}\right)}^{2}}+ 1}(12)
Type: Expression(Integer)




  Subject:   Be Bold !!
  ( 15 subscribers )  
Please rate this page: