login  home  contents  what's new  discussion  bug reports     help  links  subscribe  changes  refresh  edit

Edit detail for SandBoxPoirier revision 2 of 2

1 2
Editor: Bill Page
Time: 2015/07/31 19:18:19 GMT+0
Note:

added:
Hall

\begin{axiom}
x := operator('x)
sif(n)==1/(subscript('x,[n])-subscript('x,[n-1]))
sigma(n)==1/sif(n)^2*(sif(n+1)-2*sif(n)+sif(n-1))
sigma(n)
r(n)==1/4*(sigma(n+1)-sigma(n))
numer r(n)
factor denom(r(n))
\end{axiom}


removed:
-x := operator('x)

added:
diff1(n)

changed:
-diff2(n)==diff1(n+1)-diff1(n)
diff2(n)==diff1(n)-diff1(n-1)

changed:
-diff3(n)==diff2(n)-diff2(n-1)
diff3(n)==diff2(n+1)-diff2(n)

changed:
-numer Req18e.1
-factor %
--numer(Req18e.1-r(n))
factor numer Req18e.1
factor denom Req18e.1

Hall

fricas
(1) -> x := operator('x)

\label{eq1}x(1)
Type: BasicOperator?
fricas
sif(n)==1/(subscript('x,[n])-subscript('x,[n-1]))
Type: Void
fricas
sigma(n)==1/sif(n)^2*(sif(n+1)-2*sif(n)+sif(n-1))
Type: Void
fricas
sigma(n)
fricas
Compiling function sif with type Variable(n) -> Fraction(Polynomial(
      Integer))
fricas
Compiling function sif with type Polynomial(Integer) -> Fraction(
      Polynomial(Integer))
fricas
Compiling function sigma with type Variable(n) -> Fraction(
      Polynomial(Integer))

\label{eq2}\frac{{{x_{n}}^{3}}+{{\left(-{x_{n + 1}}-{5 \ {x_{n - 1}}}+{3 \ {x_{n - 2}}}\right)}\ {{x_{n}}^{2}}}+{{\left({{\left({4 \ {x_{n - 1}}}-{2 \ {x_{n - 2}}}\right)}\ {x_{n + 1}}}+{5 \ {{x_{n - 1}}^{2}}}-{4 \ {x_{n - 2}}\ {x_{n - 1}}}\right)}\ {x_{n}}}+{{\left(-{3 \ {{x_{n - 1}}^{2}}}+{2 \ {x_{n - 2}}\ {x_{n - 1}}}\right)}\ {x_{n + 1}}}-{{x_{n - 1}}^{3}}+{{x_{n - 2}}\ {{x_{n - 1}}^{2}}}}{{{\left({x_{n - 1}}-{x_{n - 2}}\right)}\ {x_{n}}}+{{\left(-{x_{n - 1}}+{x_{n - 2}}\right)}\ {x_{n + 1}}}}(2)
Type: Fraction(Polynomial(Integer))
fricas
r(n)==1/4*(sigma(n+1)-sigma(n))
Type: Void
fricas
numer r(n)
fricas
Compiling function sigma with type Polynomial(Integer) -> Fraction(
      Polynomial(Integer))
fricas
Compiling function r with type Variable(n) -> Fraction(Polynomial(
      Integer))

\label{eq3}\begin{array}{@{}l}
\displaystyle
{{\left(-{x_{n + 2}}+{x_{n + 1}}+{x_{n - 1}}-{x_{n - 2}}\right)}\ {{x_{n}}^{4}}}+ 
\
\
\displaystyle
{{\left({
\begin{array}{@{}l}
\displaystyle
{{\left({x_{n + 1}}+{9 \ {x_{n - 1}}}-{6 \ {x_{n - 2}}}\right)}\ {x_{n + 2}}}- 
\
\
\displaystyle
{{x_{n + 1}}^{2}}+{{\left(-{{12}\ {x_{n - 1}}}+{9 \ {x_{n - 2}}}\right)}\ {x_{n + 1}}}- 
\
\
\displaystyle
{{x_{n - 1}}^{2}}+{{x_{n - 2}}\ {x_{n - 1}}}
(3)
Type: Polynomial(Integer)
fricas
factor denom(r(n))

\label{eq4}\begin{array}{@{}l}
\displaystyle
4 \ {\left({x_{n - 1}}-{x_{n - 2}}\right)}\ {\left({x_{n + 2}}-{x_{n + 1}}\right)}\ {\left({x_{n}}-{x_{n + 1}}\right)}\  \cdot \
\
\displaystyle
{\left({x_{n}}-{x_{n - 1}}\right)}
(4)
Type: Factored(Polynomial(Integer))

Poirier to Hall

1-D

fricas
C:List Symbol := [subscript('x,[0])]

\label{eq5}\left[{x_{0}}\right](5)
Type: List(Symbol)
fricas
d := #C

\label{eq6}1(6)
Type: PositiveInteger?
fricas
J := matrix [[D(x(C(1),t),C(1))]]

\label{eq7}\left[ 
\begin{array}{c}
{{x_{, 1}}\left({{x_{0}}, \: t}\right)}
(7)
Type: Matrix(Expression(Integer))
fricas
K := inverse J

\label{eq8}\left[ 
\begin{array}{c}
{\frac{1}{{x_{, 1}}\left({{x_{0}}, \: t}\right)}}
(8)
Type: Union(Matrix(Expression(Integer)),...)
fricas
Req18a:=[reduce(+,[reduce(+,[reduce(+,[reduce(+,[ (1/4)*D( K(k,i)*K(m,j)*D( D( K(l,j),C(k) ),C(l) ),C(m) ) for m in 1..d]) for k in 1..d]) for j in 1..d]) for l in 1..d]) for i in 1..d]

\label{eq9}\left[ \frac{-{{{{x_{, 1}}\left({{x_{0}}, \: t}\right)}^{2}}\ {{x_{{{{, 1}{, 1}}{, 1}}{, 1}}}\left({{x_{0}}, \: t}\right)}}+{8 \ {{x_{, 1}}\left({{x_{0}}, \: t}\right)}\ {{x_{{, 1}{, 1}}}\left({{x_{0}}, \: t}\right)}\ {{x_{{{, 1}{, 1}}{, 1}}}\left({{x_{0}}, \: t}\right)}}-{{10}\ {{{x_{{, 1}{, 1}}}\left({{x_{0}}, \: t}\right)}^{3}}}}{4 \ {{{x_{, 1}}\left({{x_{0}}, \: t}\right)}^{6}}}\right](9)
Type: List(Expression(Integer))
fricas
diff1(n)==subscript('x,[n])-subscript('x,[n-1])
Type: Void
fricas
diff1(n)
fricas
Compiling function diff1 with type Variable(n) -> Polynomial(Integer
      )

\label{eq10}{x_{n}}-{x_{n - 1}}(10)
Type: Polynomial(Integer)
fricas
Req18b:=eval(Req18a,D(x(C(1),t),C(1))=diff1(n))

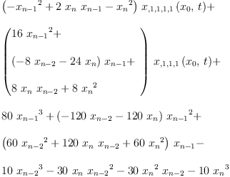
\label{eq11}\left[ \frac{{{\left(-{{x_{n}}^{2}}+{2 \ {x_{n - 1}}\ {x_{n}}}-{{x_{n - 1}}^{2}}\right)}\ {{x_{{{{, 1}{, 1}}{, 1}}{, 1}}}\left({{x_{0}}, \: t}\right)}}+{{\left({8 \ {x_{n}}}-{8 \ {x_{n - 1}}}\right)}\ {{x_{{, 1}{, 1}}}\left({{x_{0}}, \: t}\right)}\ {{x_{{{, 1}{, 1}}{, 1}}}\left({{x_{0}}, \: t}\right)}}-{{10}\ {{{x_{{, 1}{, 1}}}\left({{x_{0}}, \: t}\right)}^{3}}}}{{4 \ {{x_{n}}^{6}}}-{{24}\ {x_{n - 1}}\ {{x_{n}}^{5}}}+{{60}\ {{x_{n - 1}}^{2}}\ {{x_{n}}^{4}}}-{{80}\ {{x_{n - 1}}^{3}}\ {{x_{n}}^{3}}}+{{60}\ {{x_{n - 1}}^{4}}\ {{x_{n}}^{2}}}-{{24}\ {{x_{n - 1}}^{5}}\ {x_{n}}}+{4 \ {{x_{n - 1}}^{6}}}}\right](11)
Type: List(Expression(Integer))
fricas
diff2(n)==diff1(n)-diff1(n-1)
Type: Void
fricas
diff2(n)
fricas
Compiling function diff1 with type Polynomial(Integer) -> Polynomial
      (Integer)
fricas
Compiling function diff2 with type Variable(n) -> Polynomial(Integer
      )

\label{eq12}{x_{n}}-{2 \ {x_{n - 1}}}+{x_{n - 2}}(12)
Type: Polynomial(Integer)
fricas
Req18c:=eval(Req18b,D(x(C(1),t),[C(1),C(1)])=diff2(n));
Type: List(Expression(Integer))
fricas
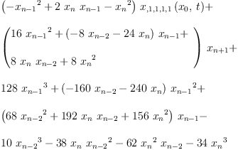
numer Req18c.1

\label{eq13}\begin{array}{@{}l}
\displaystyle
{{\left(-{{x_{n}}^{2}}+{2 \ {x_{n - 1}}\ {x_{n}}}-{{x_{n - 1}}^{2}}\right)}\ {{x_{{{{, 1}{, 1}}{, 1}}{, 1}}}\left({{x_{0}}, \: t}\right)}}+ 
\
\
\displaystyle
{{\left({
\begin{array}{@{}l}
\displaystyle
{8 \ {{x_{n}}^{2}}}+{{\left(-{{24}\ {x_{n - 1}}}+{8 \ {x_{n - 2}}}\right)}\ {x_{n}}}+ 
\
\
\displaystyle
{{16}\ {{x_{n - 1}}^{2}}}-{8 \ {x_{n - 2}}\ {x_{n - 1}}}
(13)
Type: SparseMultivariatePolynomial?(Integer,Kernel(Expression(Integer)))
fricas
diff3(n)==diff2(n+1)-diff2(n)
Type: Void
fricas
diff3(n)
fricas
Compiling function diff2 with type Polynomial(Integer) -> Polynomial
      (Integer)
fricas
Compiling function diff3 with type Variable(n) -> Polynomial(Integer
      )

\label{eq14}-{3 \ {x_{n}}}+{x_{n + 1}}+{3 \ {x_{n - 1}}}-{x_{n - 2}}(14)
Type: Polynomial(Integer)
fricas
Req18d:=eval(Req18c,D(x(C(1),t),[C(1),C(1),C(1)])=diff3(n));
Type: List(Expression(Integer))
fricas
numer Req18d.1

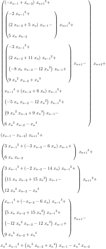
\label{eq15}\begin{array}{@{}l}
\displaystyle
{{\left(-{{x_{n}}^{2}}+{2 \ {x_{n - 1}}\ {x_{n}}}-{{x_{n - 1}}^{2}}\right)}\ {{x_{{{{, 1}{, 1}}{, 1}}{, 1}}}\left({{x_{0}}, \: t}\right)}}-{{34}\ {{x_{n}}^{3}}}+ 
\
\
\displaystyle
{{\left({8 \ {x_{n + 1}}}+{{156}\ {x_{n - 1}}}-{{62}\ {x_{n - 2}}}\right)}\ {{x_{n}}^{2}}}+ 
\
\
\displaystyle
{{\left({
\begin{array}{@{}l}
\displaystyle
{{\left(-{{24}\ {x_{n - 1}}}+{8 \ {x_{n - 2}}}\right)}\ {x_{n + 1}}}-{{240}\ {{x_{n - 1}}^{2}}}+ 
\
\
\displaystyle
{{192}\ {x_{n - 2}}\ {x_{n - 1}}}-{{38}\ {{x_{n - 2}}^{2}}}
(15)
Type: SparseMultivariatePolynomial?(Integer,Kernel(Expression(Integer)))
fricas
diff4(n)==diff3(n+1)-diff3(n)
Type: Void
fricas
diff4(n)
fricas
Compiling function diff3 with type Polynomial(Integer) -> Polynomial
      (Integer)
fricas
Compiling function diff4 with type Variable(n) -> Polynomial(Integer
      )

\label{eq16}{6 \ {x_{n}}}+{x_{n + 2}}-{4 \ {x_{n + 1}}}-{4 \ {x_{n - 1}}}+{x_{n - 2}}(16)
Type: Polynomial(Integer)
fricas
Req18e:=eval(Req18d,D(x(C(1),t),[C(1),C(1),C(1),C(1)])=diff4(n));
Type: List(Expression(Integer))
fricas
--numer(Req18e.1-r(n))
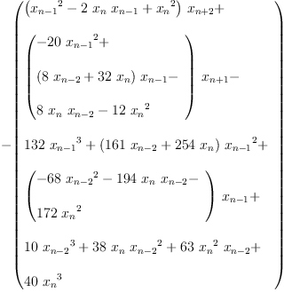
factor numer Req18e.1

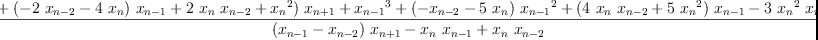
\label{eq17}\begin{array}{@{}l}
\displaystyle
-{\left({
\begin{array}{@{}l}
\displaystyle
{{40}\ {{x_{n}}^{3}}}+{{\left({
\begin{array}{@{}l}
\displaystyle
{x_{n + 2}}-{{12}\ {x_{n + 1}}}- 
\
\
\displaystyle
{{172}\ {x_{n - 1}}}+{{63}\ {x_{n - 2}}}
(17)
Type: Factored(SparseMultivariatePolynomial?(Integer,Kernel(Expression(Integer))))
fricas
factor denom Req18e.1

\label{eq18}4 \ {{\left({x_{n}}-{x_{n - 1}}\right)}^{6}}(18)
Type: Factored(SparseMultivariatePolynomial?(Integer,Kernel(Expression(Integer))))

2-D

fricas
x := operator('x)

\label{eq19}x(19)
Type: BasicOperator?
fricas
y := operator('y)

\label{eq20}y(20)
Type: BasicOperator?
fricas
C:List Symbol := [subscript('x,[0]),subscript('y,[0])]

\label{eq21}\left[{x_{0}}, \:{y_{0}}\right](21)
Type: List(Symbol)
fricas
d := #C

\label{eq22}2(22)
Type: PositiveInteger?
fricas
J := matrix [[D(x(C(1),C(2),t),C(1)), D(x(C(1),C(2),t),C(2))], 
             [D(y(C(1),C(2),t),C(1)), D(y(C(1),C(2),t),C(2))]]

\label{eq23}\left[ 
\begin{array}{cc}
{{x_{, 1}}\left({{x_{0}}, \:{y_{0}}, \: t}\right)}&{{x_{, 2}}\left({{x_{0}}, \:{y_{0}}, \: t}\right)}
\
{{y_{, 1}}\left({{x_{0}}, \:{y_{0}}, \: t}\right)}&{{y_{, 2}}\left({{x_{0}}, \:{y_{0}}, \: t}\right)}
(23)
Type: Matrix(Expression(Integer))
fricas
K := inverse J

\label{eq24}\left[ 
\begin{array}{cc}
-{\frac{{y_{, 2}}\left({{x_{0}}, \:{y_{0}}, \: t}\right)}{{{{x_{, 2}}\left({{x_{0}}, \:{y_{0}}, \: t}\right)}\ {{y_{, 1}}\left({{x_{0}}, \:{y_{0}}, \: t}\right)}}-{{{x_{, 1}}\left({{x_{0}}, \:{y_{0}}, \: t}\right)}\ {{y_{, 2}}\left({{x_{0}}, \:{y_{0}}, \: t}\right)}}}}&{\frac{{x_{, 2}}\left({{x_{0}}, \:{y_{0}}, \: t}\right)}{{{{x_{, 2}}\left({{x_{0}}, \:{y_{0}}, \: t}\right)}\ {{y_{, 1}}\left({{x_{0}}, \:{y_{0}}, \: t}\right)}}-{{{x_{, 1}}\left({{x_{0}}, \:{y_{0}}, \: t}\right)}\ {{y_{, 2}}\left({{x_{0}}, \:{y_{0}}, \: t}\right)}}}}
\
{\frac{{y_{, 1}}\left({{x_{0}}, \:{y_{0}}, \: t}\right)}{{{{x_{, 2}}\left({{x_{0}}, \:{y_{0}}, \: t}\right)}\ {{y_{, 1}}\left({{x_{0}}, \:{y_{0}}, \: t}\right)}}-{{{x_{, 1}}\left({{x_{0}}, \:{y_{0}}, \: t}\right)}\ {{y_{, 2}}\left({{x_{0}}, \:{y_{0}}, \: t}\right)}}}}& -{\frac{{x_{, 1}}\left({{x_{0}}, \:{y_{0}}, \: t}\right)}{{{{x_{, 2}}\left({{x_{0}}, \:{y_{0}}, \: t}\right)}\ {{y_{, 1}}\left({{x_{0}}, \:{y_{0}}, \: t}\right)}}-{{{x_{, 1}}\left({{x_{0}}, \:{y_{0}}, \: t}\right)}\ {{y_{, 2}}\left({{x_{0}}, \:{y_{0}}, \: t}\right)}}}}
(24)
Type: Union(Matrix(Expression(Integer)),...)
fricas
Req18:=[reduce(+,[reduce(+,[reduce(+,[reduce(+,[
 (1/4)*D( K(k,i)*K(m,j)*D( D( K(l,j),C(k) ),C(l) ),C(m) )
   for m in 1..d]) for k in 1..d]) for j in 1..d]) for l in 1..d]) for i in 1..d];
Type: List(Expression(Integer))
fricas
#Req18

\label{eq25}2(25)
Type: PositiveInteger?
fricas
kernels Req18.1

\label{eq26}\begin{array}{@{}l}
\displaystyle
\left[{{y_{{{{, 1}{, 1}}{, 1}}{, 2}}}\left({{x_{0}}, \:{y_{0}}, \: t}\right)}, \:{{y_{{{{, 1}{, 1}}{, 2}}{, 2}}}\left({{x_{0}}, \:{y_{0}}, \: t}\right)}, \:{{y_{{{{, 1}{, 2}}{, 2}}{, 2}}}\left({{x_{0}}, \:{y_{0}}, \: t}\right)}, \: \right.
\
\
\displaystyle
\left.{{y_{{{{, 1}{, 1}}{, 1}}{, 1}}}\left({{x_{0}}, \:{y_{0}}, \: t}\right)}, \:{{y_{{{{, 2}{, 2}}{, 2}}{, 2}}}\left({{x_{0}}, \:{y_{0}}, \: t}\right)}, \:{{x_{{{{, 1}{, 1}}{, 1}}{, 2}}}\left({{x_{0}}, \:{y_{0}}, \: t}\right)}, \: \right.
\
\
\displaystyle
\left.{{x_{{{{, 1}{, 1}}{, 2}}{, 2}}}\left({{x_{0}}, \:{y_{0}}, \: t}\right)}, \:{{x_{{{{, 1}{, 2}}{, 2}}{, 2}}}\left({{x_{0}}, \:{y_{0}}, \: t}\right)}, \:{{x_{{{{, 1}{, 1}}{, 1}}{, 1}}}\left({{x_{0}}, \:{y_{0}}, \: t}\right)}, \: \right.
\
\
\displaystyle
\left.{{x_{{{{, 2}{, 2}}{, 2}}{, 2}}}\left({{x_{0}}, \:{y_{0}}, \: t}\right)}, \:{{y_{{{, 1}{, 1}}{, 2}}}\left({{x_{0}}, \:{y_{0}}, \: t}\right)}, \:{{y_{{{, 1}{, 2}}{, 2}}}\left({{x_{0}}, \:{y_{0}}, \: t}\right)}, \: \right.
\
\
\displaystyle
\left.{{y_{{{, 1}{, 1}}{, 1}}}\left({{x_{0}}, \:{y_{0}}, \: t}\right)}, \:{{y_{{{, 2}{, 2}}{, 2}}}\left({{x_{0}}, \:{y_{0}}, \: t}\right)}, \:{{x_{{{, 1}{, 1}}{, 2}}}\left({{x_{0}}, \:{y_{0}}, \: t}\right)}, \: \right.
\
\
\displaystyle
\left.{{x_{{{, 1}{, 2}}{, 2}}}\left({{x_{0}}, \:{y_{0}}, \: t}\right)}, \:{{x_{{{, 1}{, 1}}{, 1}}}\left({{x_{0}}, \:{y_{0}}, \: t}\right)}, \:{{x_{{{, 2}{, 2}}{, 2}}}\left({{x_{0}}, \:{y_{0}}, \: t}\right)}, \: \right.
\
\
\displaystyle
\left.{{y_{{, 1}{, 2}}}\left({{x_{0}}, \:{y_{0}}, \: t}\right)}, \:{{y_{{, 1}{, 1}}}\left({{x_{0}}, \:{y_{0}}, \: t}\right)}, \:{{y_{{, 2}{, 2}}}\left({{x_{0}}, \:{y_{0}}, \: t}\right)}, \: \right.
\
\
\displaystyle
\left.{{x_{{, 1}{, 2}}}\left({{x_{0}}, \:{y_{0}}, \: t}\right)}, \:{{x_{{, 1}{, 1}}}\left({{x_{0}}, \:{y_{0}}, \: t}\right)}, \:{{x_{{, 2}{, 2}}}\left({{x_{0}}, \:{y_{0}}, \: t}\right)}, \: \right.
\
\
\displaystyle
\left.{{y_{, 1}}\left({{x_{0}}, \:{y_{0}}, \: t}\right)}, \:{{y_{, 2}}\left({{x_{0}}, \:{y_{0}}, \: t}\right)}, \:{{x_{, 1}}\left({{x_{0}}, \:{y_{0}}, \: t}\right)}, \:{{x_{, 2}}\left({{x_{0}}, \:{y_{0}}, \: t}\right)}\right] 
(26)
Type: List(Kernel(Expression(Integer)))