login  home  contents  what's new  discussion  bug reports     help  links  subscribe  changes  refresh  edit

fricas
(1) -> )lib FSPECX
>> System error: The value 37981 is not of type LIST

spad
)abbrev package EFSTRUX ElementaryFunctionStructurePackage
++ Risch structure theorem
++ Author: Manuel Bronstein, Waldek Hebisch
++ Date Created: 1987
++ Date Last Updated: 9 October 2006
++ Description:
++   ElementaryFunctionStructurePackage provides functions to test the
++   algebraic independence of various elementary functions, using the
++   Risch structure theorem (real and complex versions).
++   It also provides transformations on elementary functions
++   which are not considered simplifications.
++ Keywords: elementary, function, structure.
ElementaryFunctionStructurePackage(R, F) : Exports == Implementation where
  R : Join(IntegralDomain, Comparable, RetractableTo Integer,
           LinearlyExplicitRingOver Integer)
  F : Join(AlgebraicallyClosedField, TranscendentalFunctionCategory,
           FunctionSpace R)
B ==> Boolean N ==> NonNegativeInteger Z ==> Integer Q ==> Fraction Z SY ==> Symbol K ==> Kernel F UP ==> SparseUnivariatePolynomial F SMP ==> SparseMultivariatePolynomial(R, K) REC ==> Record(func : F, kers : List K, vals : List F) U ==> Union(vec : Vector Q, func : F, fail : Boolean) POWER ==> '%power NTHR ==> 'nthRoot
Exports ==> with normalize : F -> F ++ normalize(f) rewrites \spad{f} using the least possible number of ++ real algebraically independent kernels. normalize : (F, SY) -> F ++ normalize(f, x) rewrites \spad{f} using the least possible number of ++ real algebraically independent kernels involving \spad{x}. rischNormalize : (F, SY) -> REC ++ rischNormalize(f, x) returns \spad{[g, [k1, ..., kn], [h1, ..., hn]]} ++ such that \spad{g = normalize(f, x)} and each \spad{ki} was ++ rewritten as \spad{hi} during the normalization. rischNormalize : (F, List SY) -> REC ++ rischNormalize(f, lx) returns \spad{[g, [k1, ..., kn], [h1, ..., hn]]} ++ such that \spad{g = normalize(f, lx)} and each \spad{ki} was ++ rewritten as \spad{hi} during the normalization. realElementary : F -> F ++ realElementary(f) rewrites \spad{f} in terms of the 4 fundamental real ++ transcendental elementary functions: \spad{log, exp, tan, atan}. realLiouvillian : F -> F ++ realLiouvillian(f) rewrites \spad{f} elementary kernels of f in ++ terms 4 fundamental real elementary functions: \spad{log, exp, tan, ++ atan}. Additionally, it rewrites Liouvillian functions as ++ indefinite integrals to support better normalization. realLiouvillian : (F, SY) -> F ++ realLiouvillian(f, x) rewrites \spad{f} elementary kernels of f in ++ terms 4 fundamental real elementary functions: \spad{log, exp, tan, ++ atan}. Additionally, it rewrites Liouvillian functions of x as ++ indefinite integrals to support better normalization. realElementary : (F, SY) -> F ++ realElementary(f, x) rewrites the kernels of \spad{f} involving \spad{x} ++ in terms of the 4 fundamental real ++ transcendental elementary functions: \spad{log, exp, tan, atan}. validExponential : (List K, F, SY) -> Union(F, "failed") ++ validExponential([k1, ..., kn], f, x) returns \spad{g} if \spad{exp(f)=g} ++ and \spad{g} involves only \spad{k1...kn}, and "failed" otherwise. rootNormalize : (F, K) -> F ++ rootNormalize(f, k) returns \spad{f} rewriting either \spad{k} which ++ must be an nth-root in terms of radicals already in \spad{f}, or some ++ radicals in \spad{f} in terms of \spad{k}. rmap : (K -> F, F) -> F ++ rmap(f, e) rewrites e replacing each kernel k in e by f(k) tanQ : (Q, F) -> F ++ tanQ(q, a) is a local function with a conditional implementation. irootDep : K -> U ++ irootDep(k) is a local function with a conditional implementation.
Implementation ==> add import from TangentExpansions F import from IntegrationTools(R, F) import from IntegerLinearDependence F import from AlgebraicManipulations(R, F) import from InnerCommonDenominator(Z, Q, Vector Z, Vector Q) P ==> SparseMultivariatePolynomial(R, K)
HTRIG := 'htrig TRIG := 'trig
k2Elem : (K, List SY) -> F realElem : (F, List SY) -> F rootDep : (List K, K) -> U findQRelation : (List SY, List F, F) -> U findRelation : (List SY, List SY, List K, K) -> U factdeprel : (List K, K) -> U toR : (List K, F) -> List K toY : List K -> List F toZ : List K -> List F toU : List K -> List F toV : List K -> List F ktoY : K -> F ktoZ : K -> F ktoU : K -> F ktoV : K -> F gdCoef? : (Q, Vector Q) -> Boolean goodCoef : (Vector Q, List K, SY) -> Union(Record(index:Z, ker:K), "failed") tanRN : (Q, K) -> F localnorm : F -> F rooteval : (F, List K, K, Q) -> REC logeval : (F, List K, K, Vector Q) -> REC expeval : (F, List K, K, Vector Q) -> REC taneval : (F, List K, K, Vector Q) -> REC ataneval : (F, List K, K, Vector Q) -> REC depeval : (F, List K, K, Vector Q) -> REC expnosimp : (F, List K, K, Vector Q, List F, F) -> REC tannosimp : (F, List K, K, Vector Q, List F, F) -> REC rtNormalize : F -> F rootNormalize0 : F -> REC rootKernelNormalize : (F, List K, K) -> Union(REC, "failed") tanSum : (F, List F) -> F
comb? := F has CombinatorialOpsCategory mpiover2 : F := pi()$F / (-2::F)
realElem(f, l) == rmap(k +-> k2Elem(k, l), f) realElementary(f, x) == realElem(f, [x]) realElementary f == realElem(f, variables f) k_to_liou : K -> F k_to_liou1 : (K, SY) -> F realLiouvillian(f) == rmap(k_to_liou, f) realLiouvillian(f, x) == rmap((k : K) : F +-> k_to_liou1(k, x), f) toY ker == [func for k in ker | (func := ktoY k) ~= 0] toZ ker == [func for k in ker | (func := ktoZ k) ~= 0] toU ker == [func for k in ker | (func := ktoU k) ~= 0] toV ker == [func for k in ker | (func := ktoV k) ~= 0] rtNormalize f == rootNormalize0(f).func toR(ker, x) == select(s +-> is?(s, NTHR) and first argument(s) = x, ker)
-- total Wirtinger derivative allows expressions containing conjugate to be normalized -- Wirtinger derivatives: wdiff(f,x) and wdiff(f,conjugate(x)) wdiff(ex:F,z:K):F == eval(differentiate(eval(ex,[z],[coerce('%conjugate)]),'%conjugate),[kernel('%conjugate)],[z::F]) totalDifferentiate(f:F,x:SY):F == wdiff(f,kernel(x))+sqrt(-1)*wdiff(f,kernels(conjugate(coerce x)$FunctionalSpecialFunction(R, F))(1) )
if R has GcdDomain then tanQ(c, x) == tanNa(rootSimp zeroOf tanAn(x, denom(c)::PositiveInteger), numer c) else tanQ(c, x) == tanNa(zeroOf tanAn(x, denom(c)::PositiveInteger), numer c)
-- tanSum(c, [a1, ..., an]) returns f(c, a1, ..., an) such that -- if ai = tan(ui) then f(c, a1, ..., an) = tan(c + u1 + ... + un). -- MUST BE CAREFUL FOR WHEN c IS AN ODD MULTIPLE of pi/2 tanSum(c, l) == k := c / mpiover2 -- k = - 2 c / pi, check for odd integer -- tan((2n+1) pi/2 x) = - 1 / tan x (r := retractIfCan(k)@Union(Z, "failed")) case Z and odd?(r::Z) => - inv tanSum l tanSum concat(tan c, l)
rootNormalize0 f == ker := select!(x +-> is?(x, NTHR) and empty? variables first argument x, tower f)$List(K) empty? ker => [f, empty(), empty()] (n := (#ker)::Z - 1) < 1 => [f, empty(), empty()] for i in 1..n for kk in rest ker repeat (u := rootKernelNormalize(f, first(ker, i), kk)) case REC => rec := u::REC rn := rootNormalize0(rec.func) return [rn.func, concat(rec.kers, rn.kers), concat(rec.vals, rn.vals)] [f, empty(), empty()]
findQRelation(lv : List Symbol, lpar : List Symbol, lk : List F, _ ker : F) : U ==
null lk => [true] isconstant := true m := #lv lvv := lv n := #lk v := new(m, 0)$(Vector F) for i in 1..m for var in lv repeat v(i) := totalDifferentiate(ker, var) if isconstant then isconstant := v(i) = 0 if isconstant then m := #lpar lvv := lpar v := new(m, 0)$(Vector F) for i in 1..m for var in lpar repeat v(i) := totalDifferentiate(ker, var) if isconstant then isconstant := v(i) = 0 isconstant => print(ker::OutputForm)$OutputForm error "Hidden constant detected" mat := new(m, n, 0)$(Matrix F) for i in 1..m for var in lvv repeat for j in 1..n for k in lk repeat mat(i, j) := totalDifferentiate(k, var) (u := particularSolutionOverQ(mat, v)) case Vector(Q) => [u::Vector(Q)] [true]
-- This is only correct if Schanuel Conjecture is true, otherwise -- we may miss some relations. findLinearRelation1(lk : List F, ker : F) : U == null lk => [true]
n := #lk mat := new(1, n, 0)$(Matrix F) v := new(1, ker)$(Vector F) for j in 1..n for k in lk repeat if null(variables(k)) then mat(1, j) := k else mat(1, j) := 0::F (u := particularSolutionOverQ(mat, v)) case Vector(Q) => [u::Vector(Q)] [true]
ALGOP := '%alg transkers(x : List K) : List K == [k for k in x | not(has?(operator k, ALGOP))]
ktoQ(ker : K) : Q == is?(ker, 'log) and F has RetractableTo Q => z : F := argument(ker).1 qu := retractIfCan(z)@Union(Q, "failed") qu case Q => qu::Q 1 1
toQ(lk : List K) : List Q == [ktoQ(k) for k in lk | is?(k, 'log) or is?(k, 'exp)]
import from MultiplicativeDependence()
findLinearRelation2(lk : List K, lz : List F, ker : K) : U == z : F := argument(ker).1 zkers := transkers(kernels(z)) empty?(zkers) => -- Algebraic case, check for dependencies between logarithms -- of rational numbers (we should do better) q := ktoQ(ker) not(q = 1 or q = -1) => (u := logDependenceQ([toQ (lk)], q)) case Vector(Q) => [u::Vector(Q)] [true] kerF := ker :: F F is Expression(R) and R has ConvertibleTo(Float) _ and R has IntegralDomain and R has OrderedSet => m := #lz for z1 in lz for i in 1..m repeat Fratio : F := kerF/log(z1) (fratio := numericIfCan(Fratio, 20)$Numeric(R) _ ) case Float => qratio := rationalApproximation(fratio::Float, 8) nd : Integer nq : Integer (qratio = 0 or abs(fratio/(qratio::Float)-1.0) > 1.0e-16) _ or (abs(nq := numer(qratio)) > 100) _ or (abs(nd := denom(qratio)) > 100) => "iterate" kertond := (argument(ker).1)^nd nq > 0 => lz1tonq := z1^nq (kertond = lz1tonq) => vv := zero(m)$Vector(Q) qsetelt!(vv, i, qratio) return [vv] lz1tonq := (z1)^(-nq) kertond*lz1tonq = 1 => vv := zero(m)$Vector(Q) qsetelt!(vv, i, qratio) return [vv] [true] [true] lpars0 : List K := transkers(lk) lpars1 : List Symbol := [new()$Symbol for k in lpars0] lpars1f : List F := [kernel(s)::F for s in lpars1] ly : List F nz : F if is?(ker, 'log) then ly := [log(eval(x, lpars0, lpars1f)) for x in lz] nz := log(eval(z, lpars0, lpars1f)) else not(is?(ker, 'atan)) => error "findLinearRelation2: kernel should be log or atan" ly := [atan(eval(x, lpars0, lpars1f)) for x in lz] nz := atan(eval(z, lpars0, lpars1f)) findQRelation([], lpars1, ly, nz)
findRelation(lv : List Symbol, lpar : List Symbol, lk : List K, _ ker : K) : U == is?(ker, 'log) or is?(ker, 'exp) => null(variables(ker::F)) => is?(ker, 'exp) => findLinearRelation1(toY lk, ktoY ker) findLinearRelation2(lk, toZ lk, ker) findQRelation(lv, lpar, toY lk, ktoY ker) is?(ker, 'atan) or is?(ker, 'tan) => null(variables(ker::F)) => is?(ker, 'tan) => findLinearRelation1(toU lk, ktoU ker) findLinearRelation2(lk, toV lk, ker) findQRelation(lv, lpar, toU lk, ktoU ker) is?(ker, NTHR) => rootDep(lk, ker) comb? and is?(ker, 'factorial) => factdeprel([x for x in lk | is?(x, 'factorial) and x ~= ker], ker) [true]
ktoY k == is?(k, 'log) => k::F is?(k, 'exp) => first argument k 0
ktoZ k == is?(k, 'log) => first argument k is?(k, 'exp) => k::F 0
ktoU k == is?(k, 'atan) => k::F is?(k, 'tan) => first argument k 0
ktoV k == is?(k, 'tan) => k::F is?(k, 'atan) => first argument k 0
smp_map(f : K -> F, p : SMP) : F == map(f, y +-> y::F, p)$PolynomialCategoryLifting( IndexedExponents K, K, R, SMP, F)
rmap(f, e) == smp_map(f, numer e)/smp_map(f, denom e)
LF ==> LiouvillianFunction(R, F) opint : BasicOperator := operator(operator('%iint)$CommonOperators)$LF
k2Elem0(k : K, op : BasicOperator, args : List F) : F == ez, iez, tz2 : F
z := first args
is?(op, POWER) => (zero? z => 0; exp(last(args) * log z)) is?(op, 'cot) => inv tan z is?(op, 'acot) => atan inv z is?(op, 'asin) => atan(z / sqrt(1 - z^2)) is?(op, 'acos) => atan(sqrt(1 - z^2) / z) is?(op, 'asec) => atan sqrt(z^2 - 1) is?(op, 'acsc) => atan inv sqrt(z^2 - 1) is?(op, 'asinh) => log(sqrt(1 + z^2) + z) is?(op, 'acosh) => log(sqrt(z^2 - 1) + z) is?(op, 'atanh) => log((z + 1) / (1 - z)) / (2::F) is?(op, 'acoth) => log((z + 1) / (z - 1)) / (2::F) is?(op, 'asech) => log((inv z) + sqrt(inv(z^2) - 1)) is?(op, 'acsch) => log((inv z) + sqrt(1 + inv(z^2))) is?(op, '%paren) or is?(op, '%box) => empty? rest args => z k::F if has?(op, HTRIG) then iez := inv(ez := exp z) is?(op, 'sinh) => (ez - iez) / (2::F) is?(op, 'cosh) => (ez + iez) / (2::F) is?(op, 'tanh) => (ez - iez) / (ez + iez) is?(op, 'coth) => (ez + iez) / (ez - iez) is?(op, 'sech) => 2 * inv(ez + iez) is?(op, 'csch) => 2 * inv(ez - iez) if has?(op, TRIG) then tz2 := tan(z / (2::F)) is?(op, 'sin) => 2 * tz2 / (1 + tz2^2) is?(op, 'cos) => (1 - tz2^2) / (1 + tz2^2) is?(op, 'sec) => (1 + tz2^2) / (1 - tz2^2) is?(op, 'csc) => (1 + tz2^2) / (2 * tz2) op args
do_int(op : BasicOperator, args : List(F)) : F == kf1 := op args vars := variables(kf1) vfs := [v::F for v in vars] dvs := [realLiouvillian(D(kf1, v)) for v in vars] kernel(opint, concat(vfs, dvs))::F
k_to_liou(k) == op := operator k args := [realLiouvillian(a) for a in argument(k)] empty?(args) => k::F has?(op, 'prim) and not(is?(op, '%iint)) => do_int(op, args) nm := name(op) nm = 'polylog and (iu := retractIfCan(first(args))@Union(Integer, "failed")) case Integer => (i := iu::Integer) > 0 and i < 10 => do_int(op, args) k2Elem0(k, op, args) k2Elem0(k, op, args)
do_int1(op : BasicOperator, args : List(F), x : SY) : F == kf1 := op args vars : List(SY) := [x] vfs := [v::F for v in vars] dvs := [realLiouvillian(D(kf1, v), x) for v in vars] kernel(opint, concat(vfs, dvs))::F
k_to_liou1(k, x) == op := operator k args := [realLiouvillian(a, x) for a in argument(k)] empty?(args) => k::F has?(op, 'prim) and not(is?(op, '%iint)) => do_int1(op, args, x) nm := name(op) nm = 'Gamma2 and D(first(args), x) = 0 => do_int1(op, args, x) nm = 'polylog and (iu := retractIfCan(first(args))@Union(Integer, "failed")) case Integer => (i := iu::Integer) > 0 and i < 10 => do_int(op, args) k2Elem0(k, op, args) (nm = 'ellipticE2 or nm = 'ellipticF) and D(args(2), x) = 0 => do_int1(op, args, x) nm = 'ellipticPi and D(args(2), x) = 0 and D(args(3), x) = 0 => do_int1(op, args, x) k2Elem0(k, op, args)
k2Elem(k, l) == op := operator k args := [realElem(a, l) for a in argument(k)] empty?(args) => k::F k2Elem0(k, op, args)
--The next 5 functions are used by normalize, once a relation is found depeval(f, lk, k, v) == is?(k, 'log) => logeval(f, lk, k, v) is?(k, 'exp) => expeval(f, lk, k, v) is?(k, 'tan) => taneval(f, lk, k, v) is?(k, 'atan) => ataneval(f, lk, k, v) is?(k, NTHR) => rooteval(f, lk, k, v(minIndex v)) [f, empty(), empty()]
rooteval(f, lk, k, n) == nv := nthRoot(x := first argument k, m := retract(n)@Z) l := [r for r in concat(k, toR(lk, x)) | retract(second argument r)@Z ~= m] lv := [nv ^ (n / (retract(second argument r)@Z::Q)) for r in l] [eval(f, l, lv), l, lv]
ataneval(f, lk, k, v) == w := first argument k s := tanSum [tanQ(qelt(v, i), x) for i in minIndex v .. maxIndex v for x in toV lk] g := +/[qelt(v, i) * x for i in minIndex v .. maxIndex v for x in toU lk] h : F := zero?(d := 1 + s * w) => mpiover2 atan((w - s) / d) g := g + h [eval(f, [k], [g]), [k], [g]]
gdCoef?(c, v) == for i in minIndex v .. maxIndex v repeat retractIfCan(qelt(v, i) / c)@Union(Z, "failed") case "failed" => return false true
-- If k1 is part of k2 we should not express k1 in terms of k2 -- (othewise we would get infinite recursion). -- Below we impose a stronger condition : we require -- height(k1) to be maximal
goodCoef(v, l, s) == h : NonNegativeInteger := 0 j : Integer := 0 ll : List K := [] for k in l repeat if (is?(k, 'log) or is?(k, 'exp) or is?(k, 'tan) or is?(k, 'atan)) then ll := cons(k, ll) h := h + 1 not (h = (maxIndex(v) - minIndex(v) + 1)) => "failed" h := 0 ll := reverse(ll) for i in minIndex v .. maxIndex v for k in ll repeat h1 := height(k) if (h1 > h) then j := i h := h1 for i in minIndex v .. maxIndex v for k in ll repeat is?(k, s) and (i >= j) and ((r := recip(qelt(v, i))) case Q) and (retractIfCan(r::Q)@Union(Z, "failed") case Z) and gdCoef?(qelt(v, i), v) => return([i, k]) "failed"
taneval(f, lk, k, v) == u := first argument k fns := toU lk c := u - +/[qelt(v, i) * x for i in minIndex v .. maxIndex v for x in fns] (rec := goodCoef(v, lk, 'tan)) case "failed" => tannosimp(f, lk, k, v, fns, c) v0 := retract(inv qelt(v, rec.index))@Z lv := [qelt(v, i) for i in minIndex v .. maxIndex v | i ~= rec.index]$List(Q) l := [kk for kk in lk | kk ~= rec.ker] g := tanSum(-v0 * c, concat(tanNa(k::F, v0), [tanNa(x, - retract(a * v0)@Z) for a in lv for x in toV l])) [eval(f, [rec.ker], [g]), [rec.ker], [g]]
tannosimp(f, lk, k, v, fns, c) == n := maxIndex v lk := [x for x in lk | is?(x, 'tan) or is?(x, 'atan)] lk1 := [x for x in lk for i in 1..n | not(qelt(v, i) = 0)] every?(x +-> is?(x, 'tan), lk1) => dd := (d := (cd := splitDenominator v).den)::F newt := [tan(u / dd) for u in fns for i in 1..n | not(qelt(v, i) = 0)]$List(F) newtan := [tanNa(t, d) for t in newt]$List(F) li := [i for i in 1..n | not(qelt(v, i) = 0)] h := tanSum(c, [tanNa(t, qelt(cd.num, i)) for i in li for t in newt]) newtan := concat(h, newtan) lk1 := concat(k, lk1) [eval(f, lk1, newtan), lk1, newtan] h := tanSum(c, [tanQ(qelt(v, i), x) for i in 1..n for x in toV lk]) [eval(f, [k], [h]), [k], [h]]
expnosimp(f, lk, k, v, fns, g) == n := maxIndex v lk := [x for x in lk | is?(x, 'exp) or is?(x, 'log)] lk1 := [x for x in lk for i in 1..n | not(qelt(v, i) = 0)] every?(x +-> is?(x, 'exp), lk1) => dd := (d := (cd := splitDenominator v).den)::F newe := [exp(y / dd) for y in fns for i in 1..n | not(qelt(v, i) = 0)]$List(F) newexp := [e ^ d for e in newe]$List(F) li := [i for i in 1..n | not(qelt(v, i) = 0)] h := */[e ^ qelt(cd.num, i) for i in li for e in newe] * g lk1 := concat(k, lk1) newexp := concat(h, newexp) [eval(f, lk1, newexp), lk1, newexp] h := */[exp(y) ^ qelt(v, i) for i in minIndex v .. maxIndex v for y in fns] * g [eval(f, [k], [h]), [k], [h]]
logeval(f, lk, k, v) == z := first argument k dd := lcm([denom(qelt(v, i))$Q for i in minIndex v .. maxIndex v ]$List(Z)) c := z^dd / (*/[x^(dd*qelt(v, i)) for x in toZ lk for i in minIndex v .. maxIndex v]) -- CHANGED log ktoZ x TO ktoY x SINCE WE WANT log exp f TO BE REPLACED BY f. g := +/[qelt(v, i) * x for i in minIndex v .. maxIndex v for x in toY lk] + log(c)/(dd::R::F) [eval(f, [k], [g]), [k], [g]]
rischNormalize(f : F, vars : List SY) : REC == lk : List K := tower f funs := lk -- [k for k in lk | height k > 1]@(List K) pars := variables(f) -- [name(operator(k)) for k in lk | height k = 1] pars := setDifference(pars, vars) -- funs := [k for k in kers | height k > 1] empty?(funs) => [f, empty(), empty()] n := #funs
for i in 1..n for kk in rest funs repeat klist := first(funs, i) -- NO EVALUATION ON AN EMPTY VECTOR, WILL CAUSE INFINITE LOOP (c := findRelation(vars, pars, klist, kk)) case vec and not empty?(c.vec) =>
rec := depeval(f, klist, kk, c.vec) rn := rischNormalize(rec.func, vars) return [rn.func, concat(rec.kers, rn.kers), concat(rec.vals, rn.vals)] c case func => rn := rischNormalize(eval(f, [kk], [c.func]), vars) return [rn.func, concat(kk, rn.kers), concat(c.func, rn.vals)] [f, empty(), empty()]
rischNormalize(f : F, v : SY) : REC == rischNormalize(f, [v])
rootNormalize(f, k) == (u := rootKernelNormalize(f, toR(tower f, first argument k), k)) case "failed" => f (u::REC).func
rootKernelNormalize(f, l, k) == (c := rootDep(l, k)) case vec => rooteval(f, l, k, (c.vec)(minIndex(c.vec))) "failed"
localnorm f == rischNormalize(f, []).func
validExponential(twr, eta, x) == (c := particularSolutionOverQ(construct([totalDifferentiate(g, x) for g in (fns := toY twr)]$List(F))@Vector(F), totalDifferentiate(eta, x))) case "failed" => "failed" v := c::Vector(Q) g := eta - +/[qelt(v, i) * yy for i in minIndex v .. maxIndex v for yy in fns] */[exp(yy) ^ qelt(v, i) for i in minIndex v .. maxIndex v for yy in fns] * exp g
if R has GcdDomain then import from PolynomialRoots(IndexedExponents K, K, R, P, F) irootDep(k : K) : U == n : N := (retract(second argument k)@Z)::N pr := froot(first argument k, n) not(pr.coef = 1) or not(pr.exponent = n) => pr.exponent = 1 => [pr.coef*pr.radicand] nf : F := (pr.exponent)::F nr : F := pr.radicand nk : F := kernel(operator k, [nr, nf]) nv : F := pr.coef*nk [nv] [true] else irootDep(k : K) : U == [true]
rootDep(ker, k) == empty?(ker := toR(ker, first argument k)) => irootDep(k) [new(1, lcm(retract(second argument k)@Z, "lcm"/[retract(second argument r)@Z for r in ker])::Q)$Vector(Q)]
expeval(f, lk, k, v) == y := first argument k fns := toY lk g := y - +/[qelt(v, i) * z for i in minIndex v .. maxIndex v for z in fns] (rec := goodCoef(v, lk, 'exp)) case "failed" => expnosimp(f, lk, k, v, fns, exp g) v0 := retract(inv qelt(v, rec.index))@Z lv := [qelt(v, i) for i in minIndex v .. maxIndex v | i ~= rec.index]$List(Q) l := [kk for kk in lk | kk ~= rec.ker] h : F := */[exp(z) ^ (- retract(a * v0)@Z) for a in lv for z in toY l] h := h * exp(-v0 * g) * (k::F) ^ v0 [eval(f, [rec.ker], [h]), [rec.ker], [h]]
if F has CombinatorialOpsCategory then normalize f == rtNormalize localnorm factorials realElementary f
normalize(f, x) == rtNormalize(rischNormalize(factorials(realElementary(f, x), x), x).func)
factdeprel(l, k) == ((r := retractIfCan(n := first argument k)@Union(Z, "failed")) case Z) and (r::Z > 0) => [factorial(r::Z)::F] for x in l repeat m := first argument x ((r := retractIfCan(n - m)@Union(Z, "failed")) case Z) => (r::Z > 0) => return([*/[(m + i::F) for i in 1..r] * x::F]) error "bad order of factorials" [true]
else normalize f == rtNormalize localnorm realElementary f normalize(f, x) == rtNormalize(rischNormalize(realElementary(f, x), x).func)
spad
   Compiling FriCAS source code from file 
      /var/lib/zope2.10/instance/axiom-wiki/var/LatexWiki/4918645116496175848-25px002.spad
      using old system compiler.
   EFSTRUX abbreviates package ElementaryFunctionStructurePackage 
------------------------------------------------------------------------
   initializing NRLIB EFSTRUX for ElementaryFunctionStructurePackage 
   compiling into NRLIB EFSTRUX 
****** Domain: R already in scope
****** Domain: R already in scope
****** Domain: R already in scope
****** Domain: F already in scope
****** Domain: F already in scope
   importing TangentExpansions F
   importing IntegrationTools(R,F)
   importing IntegerLinearDependence F
   importing AlgebraicManipulations(R,F)
   importing InnerCommonDenominator(Integer,Fraction Integer,Vector Integer,Vector Fraction Integer)
   processing macro definition P ==> SparseMultivariatePolynomial(R,Kernel F) 
****** Domain: F already in scope
augmenting F: (CombinatorialOpsCategory)
****** comp fails at level 1 with expression: ******
((|LinearlyExplicitRingOver| (|Integer|)))
****** level 1  ******
x:= (LinearlyExplicitRingOver (Integer))
m:= $EmptyMode
f:=
((((* #) (+ #) (< #) (<= #) ...)))
>> Apparent user error: cannot compile (LinearlyExplicitRingOver (Integer))

Tests

normalize is supposed to rewrite the expression using the least possible number of independent kernels

fricas
ex1:Expression Complex Integer:=exp(conjugate(x)+x)+exp(x) + exp(conjugate(x))

\label{eq1}{{e}^{{\overline x}+ x}}+{{e}^{\overline x}}+{{e}^{x}}(1)
Type: Expression(Complex(Integer))
fricas
kernels ex1

\label{eq2}\left[{{e}^{{\overline x}+ x}}, \:{{e}^{\overline x}}, \:{{e}^{x}}\right](2)
Type: List(Kernel(Expression(Complex(Integer))))
fricas
ex2:=normalize(ex1)

\label{eq3}\frac{{{\left({{e}^{x}}+ 1 \right)}\ {{e}^{{\overline x}+ x}}}+{{{e}^{x}}^{2}}}{{e}^{x}}(3)
Type: Expression(Complex(Integer))
fricas
kernels ex2

\label{eq4}\left[{{e}^{{\overline x}+ x}}, \:{{e}^{x}}\right](4)
Type: List(Kernel(Expression(Complex(Integer))))
fricas
simplify(ex1-ex2)

\label{eq5}0(5)
Type: Expression(Complex(Integer))
fricas
eval(ex1,x=complex(1,1))

\label{eq6}{{e}^{2}}+{{e}^{1 + i}}+{{e}^{1 - i}}(6)
Type: Expression(Complex(Integer))
fricas
complexNumeric %

\label{eq7}10.3264439787 \<u> 62420542(7)
Type: Complex(Float)
fricas
eval(ex2,x=complex(1,1))

\label{eq8}\frac{{{\left({{e}^{1 + i}}+ 1 \right)}\ {{e}^{2}}}+{{{e}^{1 + i}}^{2}}}{{e}^{1 + i}}(8)
Type: Expression(Complex(Integer))
fricas
complexNumeric %

\label{eq9}10.3264439787 \<u> 62420542(9)
Type: Complex(Float)

fricas
normalize(ex1-ex2)

\label{eq10}0(10)
Type: Expression(Complex(Integer))

fricas
ex3:Expression Complex Integer:=tan(conjugate(x)+x)+tan(x) + tan(conjugate(x))

\label{eq11}{\tan \left({{\overline x}+ x}\right)}+{\tan \left({\overline x}\right)}+{\tan \left({x}\right)}(11)
Type: Expression(Complex(Integer))
fricas
kernels ex3

\label{eq12}\left[{\tan \left({{\overline x}+ x}\right)}, \:{\tan \left({\overline x}\right)}, \:{\tan \left({x}\right)}\right](12)
Type: List(Kernel(Expression(Complex(Integer))))
fricas
ex4:=normalize(ex3)

\label{eq13}\frac{{{\tan \left({x}\right)}\ {{\tan \left({{\overline x}+ x}\right)}^{2}}}+{{\left({{\tan \left({x}\right)}^{2}}+ 2 \right)}\ {\tan \left({{\overline x}+ x}\right)}}}{{{\tan \left({x}\right)}\ {\tan \left({{\overline x}+ x}\right)}}+ 1}(13)
Type: Expression(Complex(Integer))
fricas
kernels ex4

\label{eq14}\left[{\tan \left({{\overline x}+ x}\right)}, \:{\tan \left({x}\right)}\right](14)
Type: List(Kernel(Expression(Complex(Integer))))
fricas
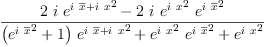
simplify(ex3-ex4)

\label{eq15}\frac{{{\left({{\sin \left({x}\right)}\ {\sin \left({\overline x}\right)}}-{{\cos \left({x}\right)}\ {\cos \left({\overline x}\right)}}\right)}\ {\sin \left({{\overline x}+ x}\right)}}+{{\cos \left({x}\right)}\ {\cos \left({{\overline x}+ x}\right)}\ {\sin \left({\overline x}\right)}}+{{\sin \left({x}\right)}\ {\cos \left({\overline x}\right)}\ {\cos \left({{\overline x}+ x}\right)}}}{{{\sin \left({x}\right)}\ {\cos \left({\overline x}\right)}\ {\sin \left({{\overline x}+ x}\right)}}+{{\cos \left({x}\right)}\ {\cos \left({\overline x}\right)}\ {\cos \left({{\overline x}+ x}\right)}}}(15)
Type: Expression(Complex(Integer))
fricas
complexElementary %

\label{eq16}\frac{{2 \  i \ {{{e}^{{i \ {\overline x}}+{i \  x}}}^{2}}}-{2 \  i \ {{{e}^{i \  x}}^{2}}\ {{{e}^{i \ {\overline x}}}^{2}}}}{{{\left({{{e}^{i \ {\overline x}}}^{2}}+ 1 \right)}\ {{{e}^{{i \ {\overline x}}+{i \  x}}}^{2}}}+{{{{e}^{i \  x}}^{2}}\ {{{e}^{i \ {\overline x}}}^{2}}}+{{{e}^{i \  x}}^{2}}}(16)
Type: Expression(Complex(Integer))
fricas
simplify %

\label{eq17}0(17)
Type: Expression(Complex(Integer))
fricas
eval(ex3,x=complex(1,1))

\label{eq18}{\tan \left({2}\right)}+{\tan \left({1 + i}\right)}+{\tan \left({1 - i}\right)}(18)
Type: Expression(Complex(Integer))
fricas
complexNumeric %

\label{eq19}-{1.6415346926 \<u> 224955586}(19)
Type: Complex(Float)
fricas
eval(ex4,x=complex(1,1))

\label{eq20}\frac{{{\tan \left({1 + i}\right)}\ {{\tan \left({2}\right)}^{2}}}+{{\left({{\tan \left({1 + i}\right)}^{2}}+ 2 \right)}\ {\tan \left({2}\right)}}}{{{\tan \left({1 + i}\right)}\ {\tan \left({2}\right)}}+ 1}(20)
Type: Expression(Complex(Integer))
fricas
complexNumeric %

\label{eq21}-{1.6415346926 \<u> 224955586}+{{0.3 E - 20}\  i}(21)
Type: Complex(Float)

fricas
normalize(ex3-ex4)

\label{eq22}0(22)
Type: Expression(Complex(Integer))

integration --Bill Page, Tue, 16 Sep 2014 02:42:58 +0000 reply
fricas
)lib FSPECX EFSTRUX
>> System error: The value 37981 is not of type LIST

fricas
integrate(exp(x),x)

\label{eq23}{e}^{x}(23)
Type: Union(Expression(Integer),...)
fricas
differentiate(%,x)

\label{eq24}{e}^{x}(24)
Type: Expression(Integer)
fricas
integrate(exp(conjugate(x)),x)

\label{eq25}\int^{
\displaystyle
x}{{{e}^{\overline \%Q}}\ {d \%Q}}(25)
Type: Union(Expression(Integer),...)
fricas
differentiate(%,x)

\label{eq26}{e}^{\overline x}(26)
Type: Expression(Integer)
fricas
integrate(exp(x+conjugate(x)),x)

\label{eq27}\int^{
\displaystyle
x}{{{e}^{{\overline \%Q}+ \%Q}}\ {d \%Q}}(27)
Type: Union(Expression(Integer),...)
fricas
differentiate(%,x)

\label{eq28}{e}^{{\overline x}+ x}(28)
Type: Expression(Integer)
fricas
integrate(exp(x-conjugate(x)),x)

\label{eq29}\int^{
\displaystyle
x}{{{e}^{-{\overline \%Q}+ \%Q}}\ {d \%Q}}(29)
Type: Union(Expression(Integer),...)
fricas
differentiate(%,x)

\label{eq30}{e}^{-{\overline x}+ x}(30)
Type: Expression(Integer)
fricas
integrate(sin(x+conjugate(x)),x)

\label{eq31}\int^{
\displaystyle
x}{{\sin \left({{\overline \%Q}+ \%Q}\right)}\ {d \%Q}}(31)
Type: Union(Expression(Integer),...)
fricas
differentiate(%,x)

\label{eq32}\sin \left({{\overline x}+ x}\right)(32)
Type: Expression(Integer)
fricas
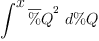
integrate(sin(conjugate(x)^2),x)

\label{eq33}\int^{
\displaystyle
x}{{\sin \left({{\overline \%Q}^{2}}\right)}\ {d \%Q}}(33)
Type: Union(Expression(Integer),...)
fricas
differentiate(%,x)

\label{eq34}\sin \left({{\overline x}^{2}}\right)(34)
Type: Expression(Integer)

Unevaluated

fricas
integrate(conjugate(x),x)

\label{eq35}\int^{
\displaystyle
x}{{\overline \%Q}\ {d \%Q}}(35)
Type: Union(Expression(Integer),...)
fricas
integrate(conjugate(x)^2,x)

\label{eq36}\int^{
\displaystyle
x}{{{\overline \%Q}^{2}}\ {d \%Q}}(36)
Type: Union(Expression(Integer),...)
fricas
integrate(exp(x*conjugate(x)),x)

\label{eq37}\int^{
\displaystyle
x}{{{e}^{\%Q \ {\overline \%Q}}}\ {d \%Q}}(37)
Type: Union(Expression(Integer),...)

fricas
integrate(sqrt(x*conjugate(x)),x)

\label{eq38}\int^{
\displaystyle
x}{{\sqrt{\%Q \ {\overline \%Q}}}\ {d \%Q}}(38)
Type: Union(Expression(Integer),...)
fricas
integrate(abs(x),x)

\label{eq39}\int^{
\displaystyle
x}{{abs \left({\%Q}\right)}\ {d \%Q}}(39)
Type: Union(Expression(Integer),...)




  Subject:   Be Bold !!
  ( 15 subscribers )  
Please rate this page: