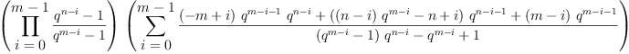
fricas (1) -> D(product((1-q^(n-i))/(1-q^(m-i)),
Type: Expression(Integer)
fricas f:=operator 'f; Type: BasicOperator?
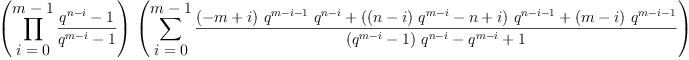
fricas D(product(f(i,
Type: Expression(Integer)
I'll try to correct this tomorrow... Martin fix --kratt6, Tue, 04 Oct 2005 07:36:46 -0500 reply Fortunately, a fix is quite easy, since we know how to differentiate products according to Leibniz rule: Here is a patch to combfunc.spad.pamphlet that also fixes some leftover problems with differentiating sums without bounds and displaying sums and products with and without bounds:
Status: open => fix proposed
fricas )version
Type: Expression(Integer)
fricas f:=operator 'f; Type: BasicOperator?
fricas D(product(f(i,
Type: Expression(Integer)
Status: fix proposed => closed
|



