login  home  contents  what's new  discussion  bug reports     help  links  subscribe  changes  refresh  edit

Exponential of endomorphism with minimal polynomial

First define some needed operations

Sum and product

fricas
(1) -> sum(x)==reduce(+,x)
Type: Void
fricas
product(x)==reduce(*,x,1)
Type: Void

Collect terms in x with given factor k.

fricas
QF==>PolynomialCategoryQuotientFunctions(IndexedExponents Kernel Expression Integer,_
                                         Kernel Expression Integer,_
                                         Integer,_
                                         SparseMultivariatePolynomial(Integer,Kernel Expression Integer),_
                                         Expression Integer)
Type: Void
fricas
--collect(x:Expression Integer,k:Kernel Expression Integer):Expression Integer ==
collect(x,k) ==
  n1:=univariate(x::Expression Integer,k::Kernel Expression Integer)$QF
  n2:=(leadingMonomial numer n1)/(denom n1)
  n3:=multivariate(n2,k::Kernel Expression Integer)$QF
  n4:=factor(numer n3)/factor(denom n3)
Type: Void
fricas
--
collector(x:Expression Integer,k:Expression Integer):List Expression Integer ==
  s1:=solve(%k=k,variables(k)(1))
  x2:=eval(collect(eval(x,s1),%k::Expression Integer::Kernel Expression Integer)::Expression Integer,%k=k)
  x2=0 => []
  concat(x2,collector(x-x2,k))
Function declaration collector : (Expression(Integer), Expression( Integer)) -> List(Expression(Integer)) has been added to workspace.
Type: Void
fricas
--
collector((r2-r1+1)^3,(r2-r1)::Expression Integer)
fricas
Compiling function collect with type (Expression(Integer), Kernel(
      Expression(Integer))) -> Fraction(Factored(
      SparseMultivariatePolynomial(Integer,Kernel(Expression(Integer)))
      ))
fricas
Compiling function collector with type (Expression(Integer), 
      Expression(Integer)) -> List(Expression(Integer))

\label{eq1}\begin{array}{@{}l}
\displaystyle
\left[{{{r 2}^{3}}-{3 \  r 1 \ {{r 2}^{2}}}+{3 \ {{r 1}^{2}}\  r 2}-{{r 1}^{3}}}, \:{{3 \ {{r 2}^{2}}}-{6 \  r 1 \  r 2}+{3 \ {{r 1}^{2}}}}, \: \right.
\
\
\displaystyle
\left.{{3 \  r 2}-{3 \  r 1}}, \: 1 \right] 
(1)
Type: List(Expression(Integer))
fricas
test(sum % = (r2-r1+1)^3)
fricas
Compiling function sum with type List(Expression(Integer)) -> 
      Expression(Integer)

\label{eq2} \mbox{\rm true} (2)
Type: Boolean

Choose n items from a list. Returns list of size binomial(#a,n) of lists.

fricas
choose(a,n) ==
  j:=[i for i in 1..n]
  r:=[[a(j(i)) for i in 1..n]]
  k:=n
  while k>0 and j(k)+n-k<#a repeat
    j(k):=j(k)+1
    for i in k..n-1 repeat j(i+1):=j(i)+1
    r:=concat(r,[a(j(i)) for i in 1..n])
    k:=n; while j(k)+n-k>=#a and k>1 repeat k:=k-1
  if binomial(#a,n)~=#r then error "error in choose"
  return r
Type: Void

Verification of calculations in the paper

(version date: September 12, 2014)

  1. Parameterizing group-polynomial in terms of the roots of the generator
  2. Minimal polynomial

    The Main Result 2.3

    The explicit expression for the group-polynomial coefficient functions g_i(r_1,r_2, ...)

    fricas
    groupPolyCoeff(i) == (-1)^(i+n+1)*sum([exp(r[j])/product([r[j]-r[m] for m in 1..n | j~=m])*f(i,j) for j in 1..n])
    Type: Void
    fricas
    f(i,j) == sum [ product x for x in choose([r[q]::Expression Integer for q in 1..n|q~=j],n-i-1)]
    Type: Void

    Example (polynomial of degree 1)

    fricas
    n:=1
    
\label{eq3}1(3)
    Type: PositiveInteger?
    fricas
    groupPolyCoeff(0)
    fricas
    Compiling function product with type List(Polynomial(Integer)) -> 
          Polynomial(Integer)
    fricas
    Compiling function choose with type (List(Expression(Integer)), 
          Integer) -> List(List(Expression(Integer)))
    fricas
    Compiling function product with type List(Expression(Integer)) -> 
          Expression(Integer)
    fricas
    Compiling function f with type (NonNegativeInteger, PositiveInteger)
           -> Expression(Integer)
    fricas
    Compiling function groupPolyCoeff with type NonNegativeInteger -> 
          Expression(Integer)
    
\label{eq4}{e}^{r_{1}}(4)
    Type: Expression(Integer)

  3. Polynomial of degree 2
    fricas
    n:=2
    
\label{eq5}2(5)
    Type: PositiveInteger?
    fricas
    eq2_1:= m[X]=(x-r[1])*(x-r[2])
    
\label{eq6}{m_{X}}={{{x}^{2}}+{{\left(-{r_{2}}-{r_{1}}\right)}\  x}+{{r_{1}}\ {r_{2}}}}(6)
    Type: Equation(Polynomial(Integer))
    fricas
    eq2_2:= exp(X)=g[0]+g[1]*X
    
\label{eq7}{{e}^{X}}={{{g_{1}}\  X}+{g_{0}}}(7)
    Type: Equation(Expression(Integer))
    fricas
    eq2_3a:= g[0]=groupPolyCoeff(0)
    
\label{eq8}{g_{0}}={\frac{-{{r_{1}}\ {{e}^{r_{2}}}}+{{r_{2}}\ {{e}^{r_{1}}}}}{{r_{2}}-{r_{1}}}}(8)
    Type: Equation(Expression(Integer))
    fricas
    eq2_3b:= g[1]=groupPolyCoeff(1)
    fricas
    Compiling function f with type (PositiveInteger, PositiveInteger)
           -> Expression(Integer)
    fricas
    Compiling function groupPolyCoeff with type PositiveInteger -> 
          Expression(Integer)
    
\label{eq9}{g_{1}}={\frac{{{e}^{r_{2}}}-{{e}^{r_{1}}}}{{r_{2}}-{r_{1}}}}(9)
    Type: Equation(Expression(Integer))

    Example 3.1 (Tri-gonometry)

    fricas
    eval(eq2_1,[r[2]=-r[1]])
    
\label{eq10}{m_{X}}={{{x}^{2}}-{{r_{1}}^{2}}}(10)
    Type: Equation(Polynomial(Integer))
    fricas
    eq2_4:= eval(eval(eq2_2,[eq2_3a,eq2_3b]),r[2]=-r[1])
    
\label{eq11}{{e}^{X}}={\frac{{{\left(X +{r_{1}}\right)}\ {{e}^{r_{1}}}}+{{\left(- X +{r_{1}}\right)}\ {{e}^{-{r_{1}}}}}}{2 \ {r_{1}}}}(11)
    Type: Equation(Expression(Integer))
    fricas
    htrigs rhs %
    
\label{eq12}\frac{{X \ {\sinh \left({r_{1}}\right)}}+{{r_{1}}\ {\cosh \left({r_{1}}\right)}}}{r_{1}}(12)
    Type: Expression(Integer)

  4. Polynomial of degree 3
    fricas
    n:=3
    
\label{eq13}3(13)
    Type: PositiveInteger?
    fricas
    eq3_1:= m[X]=(x-r[1])*(x-r[2])*(x-r[3])
    
\label{eq14}\begin{array}{@{}l}
\displaystyle
{m_{X}}={
\begin{array}{@{}l}
\displaystyle
{{x}^{3}}+{{\left(-{r_{3}}-{r_{2}}-{r_{1}}\right)}\ {{x}^{2}}}+{{\left({{\left({r_{2}}+{r_{1}}\right)}\ {r_{3}}}+{{r_{1}}\ {r_{2}}}\right)}\  x}- 
\
\
\displaystyle
{{r_{1}}\ {r_{2}}\ {r_{3}}}
(14)
    Type: Equation(Polynomial(Integer))
    fricas
    eq3_2:= exp(X)=g[0]+g[1]*X+g[2]*X^2
    
\label{eq15}{{e}^{X}}={{{g_{2}}\ {{X}^{2}}}+{{g_{1}}\  X}+{g_{0}}}(15)
    Type: Equation(Expression(Integer))
    fricas
    eq3_3a:= g[0]=groupPolyCoeff(0)
    
\label{eq16}\begin{array}{@{}l}
\displaystyle
{g_{0}}= 
\
\
\displaystyle
{\frac{{{\left({{r_{1}}\ {{r_{2}}^{2}}}-{{{r_{1}}^{2}}\ {r_{2}}}\right)}\ {{e}^{r_{3}}}}+{{\left(-{{r_{1}}\ {{r_{3}}^{2}}}+{{{r_{1}}^{2}}\ {r_{3}}}\right)}\ {{e}^{r_{2}}}}+{{\left({{r_{2}}\ {{r_{3}}^{2}}}-{{{r_{2}}^{2}}\ {r_{3}}}\right)}\ {{e}^{r_{1}}}}}{{{\left({r_{2}}-{r_{1}}\right)}\ {{r_{3}}^{2}}}+{{\left(-{{r_{2}}^{2}}+{{r_{1}}^{2}}\right)}\ {r_{3}}}+{{r_{1}}\ {{r_{2}}^{2}}}-{{{r_{1}}^{2}}\ {r_{2}}}}}
(16)
    Type: Equation(Expression(Integer))
    fricas
    eq3_3b:= g[1]=groupPolyCoeff(1)
    
\label{eq17}\begin{array}{@{}l}
\displaystyle
{g_{1}}= 
\
\
\displaystyle
{\frac{{{\left(-{{r_{2}}^{2}}+{{r_{1}}^{2}}\right)}\ {{e}^{r_{3}}}}+{{\left({{r_{3}}^{2}}-{{r_{1}}^{2}}\right)}\ {{e}^{r_{2}}}}+{{\left(-{{r_{3}}^{2}}+{{r_{2}}^{2}}\right)}\ {{e}^{r_{1}}}}}{{{\left({r_{2}}-{r_{1}}\right)}\ {{r_{3}}^{2}}}+{{\left(-{{r_{2}}^{2}}+{{r_{1}}^{2}}\right)}\ {r_{3}}}+{{r_{1}}\ {{r_{2}}^{2}}}-{{{r_{1}}^{2}}\ {r_{2}}}}}
(17)
    Type: Equation(Expression(Integer))
    fricas
    eq3_3c:= g[2]=groupPolyCoeff(2)
    
\label{eq18}\begin{array}{@{}l}
\displaystyle
{g_{2}}= 
\
\
\displaystyle
{\frac{{{\left({r_{2}}-{r_{1}}\right)}\ {{e}^{r_{3}}}}+{{\left(-{r_{3}}+{r_{1}}\right)}\ {{e}^{r_{2}}}}+{{\left({r_{3}}-{r_{2}}\right)}\ {{e}^{r_{1}}}}}{{{\left({r_{2}}-{r_{1}}\right)}\ {{r_{3}}^{2}}}+{{\left(-{{r_{2}}^{2}}+{{r_{1}}^{2}}\right)}\ {r_{3}}}+{{r_{1}}\ {{r_{2}}^{2}}}-{{{r_{1}}^{2}}\ {r_{2}}}}}
(18)
    Type: Equation(Expression(Integer))

    Example 4.1

    fricas
    eval(eq3_1,[r[2]=-r[1],r[3]=0])
    
\label{eq19}{m_{X}}={{{x}^{3}}-{{{r_{1}}^{2}}\  x}}(19)
    Type: Equation(Polynomial(Integer))
    fricas
    eq3_4:= eval(eval(eq3_2,[eq3_3a,eq3_3b,eq3_3c]),[r[2]=-r[1],r[3]=0])
    
\label{eq20}\begin{array}{@{}l}
\displaystyle
{{e}^{X}}= 
\
\
\displaystyle
{\frac{{{\left({{X}^{2}}+{{r_{1}}\  X}\right)}\ {{e}^{r_{1}}}}+{{\left({{X}^{2}}-{{r_{1}}\  X}\right)}\ {{e}^{-{r_{1}}}}}-{2 \ {{X}^{2}}}+{2 \ {{r_{1}}^{2}}}}{2 \ {{r_{1}}^{2}}}}
(20)
    Type: Equation(Expression(Integer))
    fricas
    htrigs rhs eq3_4
    
\label{eq21}\frac{{{r_{1}}\  X \ {\sinh \left({r_{1}}\right)}}+{{{X}^{2}}\ {\cosh \left({r_{1}}\right)}}-{{X}^{2}}+{{r_{1}}^{2}}}{{r_{1}}^{2}}(21)
    Type: Expression(Integer)

    Comment 4.2 (Rescaled enomorphism)

    fricas
    eq3_6:= X' = sinh(r[1])/r[1]*X
    
\label{eq22}X' ={\frac{X \ {\sinh \left({r_{1}}\right)}}{r_{1}}}(22)
    Type: Equation(Expression(Integer))
    fricas
    eq3_7:= γ = cosh(r[1])
    
\label{eq23}�� ={\cosh \left({r_{1}}\right)}(23)
    Type: Equation(Expression(Integer))
    fricas
    eq3_8:= exp(X) = 1+X'+X'^2/(1+γ)
    
\label{eq24}{{e}^{X}}={\frac{{{\left(X' + 1 \right)}\  ��}+{{X'}^{2}}+ X' + 1}{�� + 1}}(24)
    Type: Equation(Expression(Integer))
    fricas
    test(normalize(rhs eval(eq3_8,[eq3_6,eq3_7]) - rhs eq3_4)=0)
    
\label{eq25} \mbox{\rm true} (25)
    Type: Boolean

    Exercise 4.3

    fricas
    eval(eq3_1,[r[3]=r[2]])
    
\label{eq26}{m_{X}}={{{x}^{3}}+{{\left(-{2 \ {r_{2}}}-{r_{1}}\right)}\ {{x}^{2}}}+{{\left({{r_{2}}^{2}}+{2 \ {r_{1}}\ {r_{2}}}\right)}\  x}-{{r_{1}}\ {{r_{2}}^{2}}}}(26)
    Type: Equation(Polynomial(Integer))
    fricas
    eq3_9a:=lhs eq3_3a = limit(rhs eq3_3a,r[3]=r[2])
    
\label{eq27}\begin{array}{@{}l}
\displaystyle
{g_{0}}= 
\
\
\displaystyle
{\frac{{{\left({{r_{1}}\ {{r_{2}}^{2}}}+{{\left(-{{r_{1}}^{2}}-{2 \ {r_{1}}}\right)}\ {r_{2}}}+{{r_{1}}^{2}}\right)}\ {{e}^{r_{2}}}}+{{{r_{2}}^{2}}\ {{e}^{r_{1}}}}}{{{r_{2}}^{2}}-{2 \ {r_{1}}\ {r_{2}}}+{{r_{1}}^{2}}}}
(27)
    Type: Equation(OrderedCompletion?(Expression(Integer)))
    fricas
    (numer rhs eq3_9a)/factor(denom rhs eq3_9a)
    
\label{eq28}\begin{array}{@{}l}
\displaystyle
{{\left({
\begin{array}{@{}l}
\displaystyle
{{\frac{1}{{\left({r_{2}}-{r_{1}}\right)}^{2}}}\ {r_{1}}\ {{r_{2}}^{2}}}+ 
\
\
\displaystyle
{{\left({
\begin{array}{@{}l}
\displaystyle
-{{\frac{1}{{\left({r_{2}}-{r_{1}}\right)}^{2}}}\ {{r_{1}}^{2}}}- 
\
\
\displaystyle
{{\frac{2}{{\left({r_{2}}-{r_{1}}\right)}^{2}}}\ {r_{1}}}
(28)
    Type: SparseMultivariatePolynomial?(Fraction(Factored(SparseMultivariatePolynomial?(Integer,Kernel(Expression(Integer))))),Kernel(Expression(Integer)))
    fricas
    eq3_9b:=lhs eq3_3b = limit(rhs eq3_3b,r[3]=r[2])
    
\label{eq29}\begin{array}{@{}l}
\displaystyle
{g_{1}}= 
\
\
\displaystyle
{\frac{{{\left(-{{r_{2}}^{2}}+{2 \ {r_{2}}}+{{r_{1}}^{2}}\right)}\ {{e}^{r_{2}}}}-{2 \ {r_{2}}\ {{e}^{r_{1}}}}}{{{r_{2}}^{2}}-{2 \ {r_{1}}\ {r_{2}}}+{{r_{1}}^{2}}}}
(29)
    Type: Equation(OrderedCompletion?(Expression(Integer)))
    fricas
    (numer rhs eq3_9b)/factor(denom rhs eq3_9b)
    
\label{eq30}\begin{array}{@{}l}
\displaystyle
{{\left({
\begin{array}{@{}l}
\displaystyle
-{{\frac{1}{{\left({r_{2}}-{r_{1}}\right)}^{2}}}\ {{r_{2}}^{2}}}+{{\frac{2}{{\left({r_{2}}-{r_{1}}\right)}^{2}}}\ {r_{2}}}+ 
\
\
\displaystyle
{{\frac{1}{{\left({r_{2}}-{r_{1}}\right)}^{2}}}\ {{r_{1}}^{2}}}
(30)
    Type: SparseMultivariatePolynomial?(Fraction(Factored(SparseMultivariatePolynomial?(Integer,Kernel(Expression(Integer))))),Kernel(Expression(Integer)))
    fricas
    eq3_9c:=lhs eq3_3c = limit(rhs eq3_3c,r[3]=r[2])
    
\label{eq31}{g_{2}}={\frac{{{\left({r_{2}}-{r_{1}}- 1 \right)}\ {{e}^{r_{2}}}}+{{e}^{r_{1}}}}{{{r_{2}}^{2}}-{2 \ {r_{1}}\ {r_{2}}}+{{r_{1}}^{2}}}}(31)
    Type: Equation(OrderedCompletion?(Expression(Integer)))
    fricas
    (numer rhs eq3_9c)/factor(denom rhs eq3_9c)
    
\label{eq32}\begin{array}{@{}l}
\displaystyle
{{\left({
\begin{array}{@{}l}
\displaystyle
{{\frac{1}{{\left({r_{2}}-{r_{1}}\right)}^{2}}}\ {r_{2}}}-{{\frac{1}{{\left({r_{2}}-{r_{1}}\right)}^{2}}}\ {r_{1}}}- 
\
\
\displaystyle
{\frac{1}{{\left({r_{2}}-{r_{1}}\right)}^{2}}}
(32)
    Type: SparseMultivariatePolynomial?(Fraction(Factored(SparseMultivariatePolynomial?(Integer,Kernel(Expression(Integer))))),Kernel(Expression(Integer)))

  5. Polynomial of degree 4
    fricas
    n:=4
    
\label{eq33}4(33)
    Type: PositiveInteger?
    fricas
    eq4_1:= m[X]=(x-r[1])*(x-r[2])*(x-r[3])*(x-r[4])
    
\label{eq34}\begin{array}{@{}l}
\displaystyle
{m_{X}}={
\begin{array}{@{}l}
\displaystyle
{{x}^{4}}+{{\left(-{r_{4}}-{r_{3}}-{r_{2}}-{r_{1}}\right)}\ {{x}^{3}}}+ 
\
\
\displaystyle
{{\left({{\left({r_{3}}+{r_{2}}+{r_{1}}\right)}\ {r_{4}}}+{{\left({r_{2}}+{r_{1}}\right)}\ {r_{3}}}+{{r_{1}}\ {r_{2}}}\right)}\ {{x}^{2}}}+ 
\
\
\displaystyle
{{\left({{\left({{\left(-{r_{2}}-{r_{1}}\right)}\ {r_{3}}}-{{r_{1}}\ {r_{2}}}\right)}\ {r_{4}}}-{{r_{1}}\ {r_{2}}\ {r_{3}}}\right)}\  x}+ 
\
\
\displaystyle
{{r_{1}}\ {r_{2}}\ {r_{3}}\ {r_{4}}}
(34)
    Type: Equation(Polynomial(Integer))
    fricas
    eq4_2:= g[0]=groupPolyCoeff(0)
    
\label{eq35}\begin{array}{@{}l}
\displaystyle
{g_{0}}= 
\
\
\displaystyle
{\frac{{{\left({{\left(-{{r_{1}}\ {{r_{2}}^{2}}}+{{{r_{1}}^{2}}\ {r_{2}}}\right)}\ {{r_{3}}^{3}}}+{{\left({{r_{1}}\ {{r_{2}}^{3}}}-{{{r_{1}}^{3}}\ {r_{2}}}\right)}\ {{r_{3}}^{2}}}+{{\left(-{{{r_{1}}^{2}}\ {{r_{2}}^{3}}}+{{{r_{1}}^{3}}\ {{r_{2}}^{2}}}\right)}\ {r_{3}}}\right)}\ {{e}^{r_{4}}}}+{{\left({{\left({{r_{1}}\ {{r_{2}}^{2}}}-{{{r_{1}}^{2}}\ {r_{2}}}\right)}\ {{r_{4}}^{3}}}+{{\left(-{{r_{1}}\ {{r_{2}}^{3}}}+{{{r_{1}}^{3}}\ {r_{2}}}\right)}\ {{r_{4}}^{2}}}+{{\left({{{r_{1}}^{2}}\ {{r_{2}}^{3}}}-{{{r_{1}}^{3}}\ {{r_{2}}^{2}}}\right)}\ {r_{4}}}\right)}\ {{e}^{r_{3}}}}+{{\left({{\left(-{{r_{1}}\ {{r_{3}}^{2}}}+{{{r_{1}}^{2}}\ {r_{3}}}\right)}\ {{r_{4}}^{3}}}+{{\left({{r_{1}}\ {{r_{3}}^{3}}}-{{{r_{1}}^{3}}\ {r_{3}}}\right)}\ {{r_{4}}^{2}}}+{{\left(-{{{r_{1}}^{2}}\ {{r_{3}}^{3}}}+{{{r_{1}}^{3}}\ {{r_{3}}^{2}}}\right)}\ {r_{4}}}\right)}\ {{e}^{r_{2}}}}+{{\left({{\left({{r_{2}}\ {{r_{3}}^{2}}}-{{{r_{2}}^{2}}\ {r_{3}}}\right)}\ {{r_{4}}^{3}}}+{{\left(-{{r_{2}}\ {{r_{3}}^{3}}}+{{{r_{2}}^{3}}\ {r_{3}}}\right)}\ {{r_{4}}^{2}}}+{{\left({{{r_{2}}^{2}}\ {{r_{3}}^{3}}}-{{{r_{2}}^{3}}\ {{r_{3}}^{2}}}\right)}\ {r_{4}}}\right)}\ {{e}^{r_{1}}}}}{{{\left({{\left({r_{2}}-{r_{1}}\right)}\ {{r_{3}}^{2}}}+{{\left(-{{r_{2}}^{2}}+{{r_{1}}^{2}}\right)}\ {r_{3}}}+{{r_{1}}\ {{r_{2}}^{2}}}-{{{r_{1}}^{2}}\ {r_{2}}}\right)}\ {{r_{4}}^{3}}}+{{\left({{\left(-{r_{2}}+{r_{1}}\right)}\ {{r_{3}}^{3}}}+{{\left({{r_{2}}^{3}}-{{r_{1}}^{3}}\right)}\ {r_{3}}}-{{r_{1}}\ {{r_{2}}^{3}}}+{{{r_{1}}^{3}}\ {r_{2}}}\right)}\ {{r_{4}}^{2}}}+{{\left({{\left({{r_{2}}^{2}}-{{r_{1}}^{2}}\right)}\ {{r_{3}}^{3}}}+{{\left(-{{r_{2}}^{3}}+{{r_{1}}^{3}}\right)}\ {{r_{3}}^{2}}}+{{{r_{1}}^{2}}\ {{r_{2}}^{3}}}-{{{r_{1}}^{3}}\ {{r_{2}}^{2}}}\right)}\ {r_{4}}}+{{\left(-{{r_{1}}\ {{r_{2}}^{2}}}+{{{r_{1}}^{2}}\ {r_{2}}}\right)}\ {{r_{3}}^{3}}}+{{\left({{r_{1}}\ {{r_{2}}^{3}}}-{{{r_{1}}^{3}}\ {r_{2}}}\right)}\ {{r_{3}}^{2}}}+{{\left(-{{{r_{1}}^{2}}\ {{r_{2}}^{3}}}+{{{r_{1}}^{3}}\ {{r_{2}}^{2}}}\right)}\ {r_{3}}}}}
(35)
    Type: Equation(Expression(Integer))
    fricas
    eq4_3:= g[1]=groupPolyCoeff(1)
    
\label{eq36}\begin{array}{@{}l}
\displaystyle
{g_{1}}= 
\
\
\displaystyle
{\frac{{{\left({{\left({{r_{2}}^{2}}-{{r_{1}}^{2}}\right)}\ {{r_{3}}^{3}}}+{{\left(-{{r_{2}}^{3}}+{{r_{1}}^{3}}\right)}\ {{r_{3}}^{2}}}+{{{r_{1}}^{2}}\ {{r_{2}}^{3}}}-{{{r_{1}}^{3}}\ {{r_{2}}^{2}}}\right)}\ {{e}^{r_{4}}}}+{{\left({{\left(-{{r_{2}}^{2}}+{{r_{1}}^{2}}\right)}\ {{r_{4}}^{3}}}+{{\left({{r_{2}}^{3}}-{{r_{1}}^{3}}\right)}\ {{r_{4}}^{2}}}-{{{r_{1}}^{2}}\ {{r_{2}}^{3}}}+{{{r_{1}}^{3}}\ {{r_{2}}^{2}}}\right)}\ {{e}^{r_{3}}}}+{{\left({{\left({{r_{3}}^{2}}-{{r_{1}}^{2}}\right)}\ {{r_{4}}^{3}}}+{{\left(-{{r_{3}}^{3}}+{{r_{1}}^{3}}\right)}\ {{r_{4}}^{2}}}+{{{r_{1}}^{2}}\ {{r_{3}}^{3}}}-{{{r_{1}}^{3}}\ {{r_{3}}^{2}}}\right)}\ {{e}^{r_{2}}}}+{{\left({{\left(-{{r_{3}}^{2}}+{{r_{2}}^{2}}\right)}\ {{r_{4}}^{3}}}+{{\left({{r_{3}}^{3}}-{{r_{2}}^{3}}\right)}\ {{r_{4}}^{2}}}-{{{r_{2}}^{2}}\ {{r_{3}}^{3}}}+{{{r_{2}}^{3}}\ {{r_{3}}^{2}}}\right)}\ {{e}^{r_{1}}}}}{{{\left({{\left({r_{2}}-{r_{1}}\right)}\ {{r_{3}}^{2}}}+{{\left(-{{r_{2}}^{2}}+{{r_{1}}^{2}}\right)}\ {r_{3}}}+{{r_{1}}\ {{r_{2}}^{2}}}-{{{r_{1}}^{2}}\ {r_{2}}}\right)}\ {{r_{4}}^{3}}}+{{\left({{\left(-{r_{2}}+{r_{1}}\right)}\ {{r_{3}}^{3}}}+{{\left({{r_{2}}^{3}}-{{r_{1}}^{3}}\right)}\ {r_{3}}}-{{r_{1}}\ {{r_{2}}^{3}}}+{{{r_{1}}^{3}}\ {r_{2}}}\right)}\ {{r_{4}}^{2}}}+{{\left({{\left({{r_{2}}^{2}}-{{r_{1}}^{2}}\right)}\ {{r_{3}}^{3}}}+{{\left(-{{r_{2}}^{3}}+{{r_{1}}^{3}}\right)}\ {{r_{3}}^{2}}}+{{{r_{1}}^{2}}\ {{r_{2}}^{3}}}-{{{r_{1}}^{3}}\ {{r_{2}}^{2}}}\right)}\ {r_{4}}}+{{\left(-{{r_{1}}\ {{r_{2}}^{2}}}+{{{r_{1}}^{2}}\ {r_{2}}}\right)}\ {{r_{3}}^{3}}}+{{\left({{r_{1}}\ {{r_{2}}^{3}}}-{{{r_{1}}^{3}}\ {r_{2}}}\right)}\ {{r_{3}}^{2}}}+{{\left(-{{{r_{1}}^{2}}\ {{r_{2}}^{3}}}+{{{r_{1}}^{3}}\ {{r_{2}}^{2}}}\right)}\ {r_{3}}}}}
(36)
    Type: Equation(Expression(Integer))
    fricas
    eq4_4:= g[2]=groupPolyCoeff(2)
    
\label{eq37}\begin{array}{@{}l}
\displaystyle
{g_{2}}= 
\
\
\displaystyle
{\frac{{{\left({{\left(-{r_{2}}+{r_{1}}\right)}\ {{r_{3}}^{3}}}+{{\left({{r_{2}}^{3}}-{{r_{1}}^{3}}\right)}\ {r_{3}}}-{{r_{1}}\ {{r_{2}}^{3}}}+{{{r_{1}}^{3}}\ {r_{2}}}\right)}\ {{e}^{r_{4}}}}+{{\left({{\left({r_{2}}-{r_{1}}\right)}\ {{r_{4}}^{3}}}+{{\left(-{{r_{2}}^{3}}+{{r_{1}}^{3}}\right)}\ {r_{4}}}+{{r_{1}}\ {{r_{2}}^{3}}}-{{{r_{1}}^{3}}\ {r_{2}}}\right)}\ {{e}^{r_{3}}}}+{{\left({{\left(-{r_{3}}+{r_{1}}\right)}\ {{r_{4}}^{3}}}+{{\left({{r_{3}}^{3}}-{{r_{1}}^{3}}\right)}\ {r_{4}}}-{{r_{1}}\ {{r_{3}}^{3}}}+{{{r_{1}}^{3}}\ {r_{3}}}\right)}\ {{e}^{r_{2}}}}+{{\left({{\left({r_{3}}-{r_{2}}\right)}\ {{r_{4}}^{3}}}+{{\left(-{{r_{3}}^{3}}+{{r_{2}}^{3}}\right)}\ {r_{4}}}+{{r_{2}}\ {{r_{3}}^{3}}}-{{{r_{2}}^{3}}\ {r_{3}}}\right)}\ {{e}^{r_{1}}}}}{{{\left({{\left({r_{2}}-{r_{1}}\right)}\ {{r_{3}}^{2}}}+{{\left(-{{r_{2}}^{2}}+{{r_{1}}^{2}}\right)}\ {r_{3}}}+{{r_{1}}\ {{r_{2}}^{2}}}-{{{r_{1}}^{2}}\ {r_{2}}}\right)}\ {{r_{4}}^{3}}}+{{\left({{\left(-{r_{2}}+{r_{1}}\right)}\ {{r_{3}}^{3}}}+{{\left({{r_{2}}^{3}}-{{r_{1}}^{3}}\right)}\ {r_{3}}}-{{r_{1}}\ {{r_{2}}^{3}}}+{{{r_{1}}^{3}}\ {r_{2}}}\right)}\ {{r_{4}}^{2}}}+{{\left({{\left({{r_{2}}^{2}}-{{r_{1}}^{2}}\right)}\ {{r_{3}}^{3}}}+{{\left(-{{r_{2}}^{3}}+{{r_{1}}^{3}}\right)}\ {{r_{3}}^{2}}}+{{{r_{1}}^{2}}\ {{r_{2}}^{3}}}-{{{r_{1}}^{3}}\ {{r_{2}}^{2}}}\right)}\ {r_{4}}}+{{\left(-{{r_{1}}\ {{r_{2}}^{2}}}+{{{r_{1}}^{2}}\ {r_{2}}}\right)}\ {{r_{3}}^{3}}}+{{\left({{r_{1}}\ {{r_{2}}^{3}}}-{{{r_{1}}^{3}}\ {r_{2}}}\right)}\ {{r_{3}}^{2}}}+{{\left(-{{{r_{1}}^{2}}\ {{r_{2}}^{3}}}+{{{r_{1}}^{3}}\ {{r_{2}}^{2}}}\right)}\ {r_{3}}}}}
(37)
    Type: Equation(Expression(Integer))
    fricas
    eq4_5:= g[3]=groupPolyCoeff(3)
    
\label{eq38}\begin{array}{@{}l}
\displaystyle
{g_{3}}= 
\
\
\displaystyle
{\frac{{{\left({{\left({r_{2}}-{r_{1}}\right)}\ {{r_{3}}^{2}}}+{{\left(-{{r_{2}}^{2}}+{{r_{1}}^{2}}\right)}\ {r_{3}}}+{{r_{1}}\ {{r_{2}}^{2}}}-{{{r_{1}}^{2}}\ {r_{2}}}\right)}\ {{e}^{r_{4}}}}+{{\left({{\left(-{r_{2}}+{r_{1}}\right)}\ {{r_{4}}^{2}}}+{{\left({{r_{2}}^{2}}-{{r_{1}}^{2}}\right)}\ {r_{4}}}-{{r_{1}}\ {{r_{2}}^{2}}}+{{{r_{1}}^{2}}\ {r_{2}}}\right)}\ {{e}^{r_{3}}}}+{{\left({{\left({r_{3}}-{r_{1}}\right)}\ {{r_{4}}^{2}}}+{{\left(-{{r_{3}}^{2}}+{{r_{1}}^{2}}\right)}\ {r_{4}}}+{{r_{1}}\ {{r_{3}}^{2}}}-{{{r_{1}}^{2}}\ {r_{3}}}\right)}\ {{e}^{r_{2}}}}+{{\left({{\left(-{r_{3}}+{r_{2}}\right)}\ {{r_{4}}^{2}}}+{{\left({{r_{3}}^{2}}-{{r_{2}}^{2}}\right)}\ {r_{4}}}-{{r_{2}}\ {{r_{3}}^{2}}}+{{{r_{2}}^{2}}\ {r_{3}}}\right)}\ {{e}^{r_{1}}}}}{{{\left({{\left({r_{2}}-{r_{1}}\right)}\ {{r_{3}}^{2}}}+{{\left(-{{r_{2}}^{2}}+{{r_{1}}^{2}}\right)}\ {r_{3}}}+{{r_{1}}\ {{r_{2}}^{2}}}-{{{r_{1}}^{2}}\ {r_{2}}}\right)}\ {{r_{4}}^{3}}}+{{\left({{\left(-{r_{2}}+{r_{1}}\right)}\ {{r_{3}}^{3}}}+{{\left({{r_{2}}^{3}}-{{r_{1}}^{3}}\right)}\ {r_{3}}}-{{r_{1}}\ {{r_{2}}^{3}}}+{{{r_{1}}^{3}}\ {r_{2}}}\right)}\ {{r_{4}}^{2}}}+{{\left({{\left({{r_{2}}^{2}}-{{r_{1}}^{2}}\right)}\ {{r_{3}}^{3}}}+{{\left(-{{r_{2}}^{3}}+{{r_{1}}^{3}}\right)}\ {{r_{3}}^{2}}}+{{{r_{1}}^{2}}\ {{r_{2}}^{3}}}-{{{r_{1}}^{3}}\ {{r_{2}}^{2}}}\right)}\ {r_{4}}}+{{\left(-{{r_{1}}\ {{r_{2}}^{2}}}+{{{r_{1}}^{2}}\ {r_{2}}}\right)}\ {{r_{3}}^{3}}}+{{\left({{r_{1}}\ {{r_{2}}^{3}}}-{{{r_{1}}^{3}}\ {r_{2}}}\right)}\ {{r_{3}}^{2}}}+{{\left(-{{{r_{1}}^{2}}\ {{r_{2}}^{3}}}+{{{r_{1}}^{3}}\ {{r_{2}}^{2}}}\right)}\ {r_{3}}}}}
(38)
    Type: Equation(Expression(Integer))
  6. m_X(x) \equiv (x^2-r_1^2)\ (x^2-r_2^2)
    fricas
    eq5_1:=eval(eq4_1,[r[3]=-r[1],r[4]=-r[2]])
    
\label{eq39}{m_{X}}={{{x}^{4}}+{{\left(-{{r_{2}}^{2}}-{{r_{1}}^{2}}\right)}\ {{x}^{2}}}+{{{r_{1}}^{2}}\ {{r_{2}}^{2}}}}(39)
    Type: Equation(Polynomial(Integer))

    Corollary 6.1

    fricas
    eq5_2:= exp(X)=g[0]+g[1]*X+g[2]*X^2+g[3]*X^3
    
\label{eq40}{{e}^{X}}={{{g_{3}}\ {{X}^{3}}}+{{g_{2}}\ {{X}^{2}}}+{{g_{1}}\  X}+{g_{0}}}(40)
    Type: Equation(Expression(Integer))
    fricas
    eq5_3a:= eval(eq4_2,[r[3]=-r[1],r[4]=-r[2]])
    
\label{eq41}\begin{array}{@{}l}
\displaystyle
{g_{0}}= 
\
\
\displaystyle
{\frac{-{{{r_{1}}^{2}}\ {{e}^{r_{2}}}}+{{{r_{2}}^{2}}\ {{e}^{r_{1}}}}+{{{r_{2}}^{2}}\ {{e}^{-{r_{1}}}}}-{{{r_{1}}^{2}}\ {{e}^{-{r_{2}}}}}}{{2 \ {{r_{2}}^{2}}}-{2 \ {{r_{1}}^{2}}}}}
(41)
    Type: Equation(Expression(Integer))
    fricas
    htrigs rhs %
    
\label{eq42}\frac{-{{{r_{1}}^{2}}\ {\cosh \left({r_{2}}\right)}}+{{{r_{2}}^{2}}\ {\cosh \left({r_{1}}\right)}}}{{{r_{2}}^{2}}-{{r_{1}}^{2}}}(42)
    Type: Expression(Integer)
    fricas
    eq5_3b:= eval(eq4_3,[r[3]=-r[1],r[4]=-r[2]])
    
\label{eq43}\begin{array}{@{}l}
\displaystyle
{g_{1}}= 
\
\
\displaystyle
{\frac{-{{{r_{1}}^{3}}\ {{e}^{r_{2}}}}+{{{r_{2}}^{3}}\ {{e}^{r_{1}}}}-{{{r_{2}}^{3}}\ {{e}^{-{r_{1}}}}}+{{{r_{1}}^{3}}\ {{e}^{-{r_{2}}}}}}{{2 \ {r_{1}}\ {{r_{2}}^{3}}}-{2 \ {{r_{1}}^{3}}\ {r_{2}}}}}
(43)
    Type: Equation(Expression(Integer))
    fricas
    htrigs rhs %
    
\label{eq44}\frac{-{{{r_{1}}^{3}}\ {\sinh \left({r_{2}}\right)}}+{{{r_{2}}^{3}}\ {\sinh \left({r_{1}}\right)}}}{{{r_{1}}\ {{r_{2}}^{3}}}-{{{r_{1}}^{3}}\ {r_{2}}}}(44)
    Type: Expression(Integer)
    fricas
    eq5_3c:= eval(eq4_4,[r[3]=-r[1],r[4]=-r[2]])
    
\label{eq45}{g_{2}}={\frac{{{e}^{r_{2}}}-{{e}^{r_{1}}}-{{e}^{-{r_{1}}}}+{{e}^{-{r_{2}}}}}{{2 \ {{r_{2}}^{2}}}-{2 \ {{r_{1}}^{2}}}}}(45)
    Type: Equation(Expression(Integer))
    fricas
    htrigs rhs %
    
\label{eq46}\frac{{\cosh \left({r_{2}}\right)}-{\cosh \left({r_{1}}\right)}}{{{r_{2}}^{2}}-{{r_{1}}^{2}}}(46)
    Type: Expression(Integer)
    fricas
    eq5_3d:= eval(eq4_5,[r[3]=-r[1],r[4]=-r[2]])
    
\label{eq47}\begin{array}{@{}l}
\displaystyle
{g_{3}}= 
\
\
\displaystyle
{\frac{{{r_{1}}\ {{e}^{r_{2}}}}-{{r_{2}}\ {{e}^{r_{1}}}}+{{r_{2}}\ {{e}^{-{r_{1}}}}}-{{r_{1}}\ {{e}^{-{r_{2}}}}}}{{2 \ {r_{1}}\ {{r_{2}}^{3}}}-{2 \ {{r_{1}}^{3}}\ {r_{2}}}}}
(47)
    Type: Equation(Expression(Integer))
    fricas
    htrigs rhs %
    
\label{eq48}\frac{{{r_{1}}\ {\sinh \left({r_{2}}\right)}}-{{r_{2}}\ {\sinh \left({r_{1}}\right)}}}{{{r_{1}}\ {{r_{2}}^{3}}}-{{{r_{1}}^{3}}\ {r_{2}}}}(48)
    Type: Expression(Integer)
    fricas
    eq5_4:= eval(eval(eq5_2,[eq4_2,eq4_3,eq4_4,eq4_5]),[r[3]=-r[1],r[4]=-r[2]])
    
\label{eq49}\begin{array}{@{}l}
\displaystyle
{{e}^{X}}= 
\
\
\displaystyle
{\frac{{{\left({{r_{1}}\ {{X}^{3}}}+{{r_{1}}\ {r_{2}}\ {{X}^{2}}}-{{{r_{1}}^{3}}\  X}-{{{r_{1}}^{3}}\ {r_{2}}}\right)}\ {{e}^{r_{2}}}}+{{\left(-{{r_{2}}\ {{X}^{3}}}-{{r_{1}}\ {r_{2}}\ {{X}^{2}}}+{{{r_{2}}^{3}}\  X}+{{r_{1}}\ {{r_{2}}^{3}}}\right)}\ {{e}^{r_{1}}}}+{{\left({{r_{2}}\ {{X}^{3}}}-{{r_{1}}\ {r_{2}}\ {{X}^{2}}}-{{{r_{2}}^{3}}\  X}+{{r_{1}}\ {{r_{2}}^{3}}}\right)}\ {{e}^{-{r_{1}}}}}+{{\left(-{{r_{1}}\ {{X}^{3}}}+{{r_{1}}\ {r_{2}}\ {{X}^{2}}}+{{{r_{1}}^{3}}\  X}-{{{r_{1}}^{3}}\ {r_{2}}}\right)}\ {{e}^{-{r_{2}}}}}}{{2 \ {r_{1}}\ {{r_{2}}^{3}}}-{2 \ {{r_{1}}^{3}}\ {r_{2}}}}}
(49)
    Type: Equation(Expression(Integer))
    fricas
    htrigs rhs %
    
\label{eq50}\frac{{{\left({{r_{1}}\ {{X}^{3}}}-{{{r_{1}}^{3}}\  X}\right)}\ {\sinh \left({r_{2}}\right)}}+{{\left(-{{r_{2}}\ {{X}^{3}}}+{{{r_{2}}^{3}}\  X}\right)}\ {\sinh \left({r_{1}}\right)}}+{{\left({{r_{1}}\ {r_{2}}\ {{X}^{2}}}-{{{r_{1}}^{3}}\ {r_{2}}}\right)}\ {\cosh \left({r_{2}}\right)}}+{{\left(-{{r_{1}}\ {r_{2}}\ {{X}^{2}}}+{{r_{1}}\ {{r_{2}}^{3}}}\right)}\ {\cosh \left({r_{1}}\right)}}}{{{r_{1}}\ {{r_{2}}^{3}}}-{{{r_{1}}^{3}}\ {r_{2}}}}(50)
    Type: Expression(Integer)

    Definition 6.2

    fricas
    eq5_5a:= Y[1] = 1/(2*r[1]^2-r[1]^2-r[2]^2)*(X^3-(r[1]^2+r[2]^2-r[1]^2)*X)
    
\label{eq51}{Y_{1}}={\frac{-{{X}^{3}}+{{{r_{2}}^{2}}\  X}}{{{r_{2}}^{2}}-{{r_{1}}^{2}}}}(51)
    Type: Equation(Fraction(Polynomial(Integer)))
    fricas
    eq5_5b:= Y[2] = 1/(2*r[2]^2-r[1]^2-r[2]^2)*(X^3-(r[1]^2+r[2]^2-r[2]^2)*X)
    
\label{eq52}{Y_{2}}={\frac{{{X}^{3}}-{{{r_{1}}^{2}}\  X}}{{{r_{2}}^{2}}-{{r_{1}}^{2}}}}(52)
    Type: Equation(Fraction(Polynomial(Integer)))

    Exercise 6.3

    fricas
    eq5_6a:= X = Y[1]+Y[2]
    
\label{eq53}X ={{Y_{2}}+{Y_{1}}}(53)
    Type: Equation(Polynomial(Integer))
    fricas
    test(eval(eq5_6a,[eq5_5a,eq5_5b]))
    
\label{eq54} \mbox{\rm true} (54)
    Type: Boolean
    fricas
    eq5_6b:= eval(Y[1]*Y[2]=0,[eq5_5a,eq5_5b])
    
\label{eq55}\begin{array}{@{}l}
\displaystyle
{\frac{-{{X}^{6}}+{{\left({{r_{2}}^{2}}+{{r_{1}}^{2}}\right)}\ {{X}^{4}}}-{{{r_{1}}^{2}}\ {{r_{2}}^{2}}\ {{X}^{2}}}}{{{r_{2}}^{4}}-{2 \ {{r_{1}}^{2}}\ {{r_{2}}^{2}}}+{{r_{1}}^{4}}}}= 
\
\
\displaystyle
0 
(55)
    Type: Equation(Expression(Integer))
    fricas
    eq5_6c:= X^4 = X^4-eval(rhs eq5_1,x=X)
    
\label{eq56}{{X}^{4}}={{{\left({{r_{2}}^{2}}+{{r_{1}}^{2}}\right)}\ {{X}^{2}}}-{{{r_{1}}^{2}}\ {{r_{2}}^{2}}}}(56)
    Type: Equation(Polynomial(Integer))
    fricas
    eq5_6d:= X^2*(lhs %)=X^2*(rhs %)
    
\label{eq57}{{X}^{6}}={{{\left({{r_{2}}^{2}}+{{r_{1}}^{2}}\right)}\ {{X}^{4}}}-{{{r_{1}}^{2}}\ {{r_{2}}^{2}}\ {{X}^{2}}}}(57)
    Type: Equation(Polynomial(Integer))
    fricas
    test(_rule(lhs eq5_6d,rhs eq5_6d)(lhs eq5_6b)=rhs eq5_6b)
    
\label{eq58} \mbox{\rm true} (58)
    Type: Boolean

    Comment 6.5 (Rescaling)

    fricas
    eq5_7:= sinh(r[1])/r[1]*Y[1]+sinh(r[2])/r[2]*Y[2]
    
\label{eq59}\frac{{{Y_{2}}\ {r_{1}}\ {\sinh \left({r_{2}}\right)}}+{{Y_{1}}\ {r_{2}}\ {\sinh \left({r_{1}}\right)}}}{{r_{1}}\ {r_{2}}}(59)
    Type: Expression(Integer)
    fricas
    eq5_8a:= [ Y'[1]=sinh(r[1])/r[1]*Y[1], Y'[2]=sinh(r[2])/r[2]*Y[2] ]
    
\label{eq60}\left[{{Y'_{1}}={\frac{{Y_{1}}\ {\sinh \left({r_{1}}\right)}}{r_{1}}}}, \:{{Y'_{2}}={\frac{{Y_{2}}\ {\sinh \left({r_{2}}\right)}}{r_{2}}}}\right](60)
    Type: List(Equation(Expression(Integer)))
    fricas
    eq5_8b:= [ γ[1] = cosh(r[1]), γ[2] = cosh(r[2]) ]
    
\label{eq61}\left[{{��_{1}}={\cosh \left({r_{1}}\right)}}, \:{{��_{2}}={\cosh \left({r_{2}}\right)}}\right](61)
    Type: List(Equation(Expression(Integer)))
    fricas
    eq5_9a:= exp(X) = exp(Y[1])*exp(Y[2])
    
\label{eq62}{{e}^{X}}={{{e}^{Y_{1}}}\ {{e}^{Y_{2}}}}(62)
    Type: Equation(Expression(Integer))
    fricas
    eval(eq5_9a,[eq5_5a,eq5_5b])
    
\label{eq63}{{e}^{X}}={{{e}^{\frac{-{{X}^{3}}+{{{r_{2}}^{2}}\  X}}{{{r_{2}}^{2}}-{{r_{1}}^{2}}}}}\ {{e}^{\frac{{{X}^{3}}-{{{r_{1}}^{2}}\  X}}{{{r_{2}}^{2}}-{{r_{1}}^{2}}}}}}(63)
    Type: Equation(Expression(Integer))
    fricas
    test(lhs % = simplify expand rhs %)
    
\label{eq64} \mbox{\rm true} (64)
    Type: Boolean
    fricas
    eq5_9b:= exp(X) = 1 + Y'[1] +Y'[2] + Y'[1]^2/(1+γ[1]) + Y'[2]^2/(1+γ[2])
    
\label{eq65}\begin{array}{@{}l}
\displaystyle
{{e}^{X}}= 
\
\
\displaystyle
{\frac{{{\left({{\left({Y'_{2}}+{Y'_{1}}+ 1 \right)}\ {��_{1}}}+{Y'_{2}}+{{Y'_{1}}^{2}}+{Y'_{1}}+ 1 \right)}\ {��_{2}}}+{{\left({{Y'_{2}}^{2}}+{Y'_{2}}+{Y'_{1}}+ 1 \right)}\ {��_{1}}}+{{Y'_{2}}^{2}}+{Y'_{2}}+{{Y'_{1}}^{2}}+{Y'_{1}}+ 1}{{{\left({��_{1}}+ 1 \right)}\ {��_{2}}}+{��_{1}}+ 1}}
(65)
    Type: Equation(Expression(Integer))
    fricas
    normalize eval(eval(rhs eq5_9b,concat [eq5_8a,eq5_8b]),[eq5_5a,eq5_5b])
    
\label{eq66}\frac{{{\left({{{r_{1}}^{2}}\ {{X}^{6}}}-{2 \ {{r_{1}}^{4}}\ {{X}^{4}}}+{{\left({{{r_{1}}^{2}}\ {{r_{2}}^{3}}}-{{{r_{1}}^{4}}\ {r_{2}}}\right)}\ {{X}^{3}}}+{{{r_{1}}^{6}}\ {{X}^{2}}}+{{\left(-{{{r_{1}}^{4}}\ {{r_{2}}^{3}}}+{{{r_{1}}^{6}}\ {r_{2}}}\right)}\  X}\right)}\ {{e}^{r_{1}}}\ {{{e}^{r_{2}}}^{2}}}+{{\left({{\left({{{r_{2}}^{2}}\ {{X}^{6}}}-{2 \ {{r_{2}}^{4}}\ {{X}^{4}}}+{{\left(-{{r_{1}}\ {{r_{2}}^{4}}}+{{{r_{1}}^{3}}\ {{r_{2}}^{2}}}\right)}\ {{X}^{3}}}+{{{r_{2}}^{6}}\ {{X}^{2}}}+{{\left({{r_{1}}\ {{r_{2}}^{6}}}-{{{r_{1}}^{3}}\ {{r_{2}}^{4}}}\right)}\  X}\right)}\ {{{e}^{r_{1}}}^{2}}}+{{\left({{\left(-{2 \ {{r_{2}}^{2}}}-{2 \ {{r_{1}}^{2}}}\right)}\ {{X}^{6}}}+{{\left({4 \ {{r_{2}}^{4}}}+{4 \ {{r_{1}}^{4}}}\right)}\ {{X}^{4}}}+{{\left(-{2 \ {{r_{2}}^{6}}}-{2 \ {{r_{1}}^{6}}}\right)}\ {{X}^{2}}}+{2 \ {{r_{1}}^{2}}\ {{r_{2}}^{6}}}-{4 \ {{r_{1}}^{4}}\ {{r_{2}}^{4}}}+{2 \ {{r_{1}}^{6}}\ {{r_{2}}^{2}}}\right)}\ {{e}^{r_{1}}}}+{{{r_{2}}^{2}}\ {{X}^{6}}}-{2 \ {{r_{2}}^{4}}\ {{X}^{4}}}+{{\left({{r_{1}}\ {{r_{2}}^{4}}}-{{{r_{1}}^{3}}\ {{r_{2}}^{2}}}\right)}\ {{X}^{3}}}+{{{r_{2}}^{6}}\ {{X}^{2}}}+{{\left(-{{r_{1}}\ {{r_{2}}^{6}}}+{{{r_{1}}^{3}}\ {{r_{2}}^{4}}}\right)}\  X}\right)}\ {{e}^{r_{2}}}}+{{\left({{{r_{1}}^{2}}\ {{X}^{6}}}-{2 \ {{r_{1}}^{4}}\ {{X}^{4}}}+{{\left(-{{{r_{1}}^{2}}\ {{r_{2}}^{3}}}+{{{r_{1}}^{4}}\ {r_{2}}}\right)}\ {{X}^{3}}}+{{{r_{1}}^{6}}\ {{X}^{2}}}+{{\left({{{r_{1}}^{4}}\ {{r_{2}}^{3}}}-{{{r_{1}}^{6}}\ {r_{2}}}\right)}\  X}\right)}\ {{e}^{r_{1}}}}}{{\left({2 \ {{r_{1}}^{2}}\ {{r_{2}}^{6}}}-{4 \ {{r_{1}}^{4}}\ {{r_{2}}^{4}}}+{2 \ {{r_{1}}^{6}}\ {{r_{2}}^{2}}}\right)}\ {{e}^{r_{1}}}\ {{e}^{r_{2}}}}(66)
    Type: Expression(Integer)
    fricas
    _rule(lhs eq5_6d,rhs eq5_6d)(%)
    
\label{eq67}\frac{{{\left({{{r_{1}}^{2}}\ {{X}^{4}}}+{{{r_{1}}^{2}}\ {r_{2}}\ {{X}^{3}}}-{{{r_{1}}^{4}}\ {{X}^{2}}}-{{{r_{1}}^{4}}\ {r_{2}}\  X}\right)}\ {{e}^{r_{1}}}\ {{{e}^{r_{2}}}^{2}}}+{{\left({{\left(-{{{r_{2}}^{2}}\ {{X}^{4}}}-{{r_{1}}\ {{r_{2}}^{2}}\ {{X}^{3}}}+{{{r_{2}}^{4}}\ {{X}^{2}}}+{{r_{1}}\ {{r_{2}}^{4}}\  X}\right)}\ {{{e}^{r_{1}}}^{2}}}+{{\left({{\left({2 \ {{r_{2}}^{2}}}-{2 \ {{r_{1}}^{2}}}\right)}\ {{X}^{4}}}+{{\left(-{2 \ {{r_{2}}^{4}}}+{2 \ {{r_{1}}^{4}}}\right)}\ {{X}^{2}}}+{2 \ {{r_{1}}^{2}}\ {{r_{2}}^{4}}}-{2 \ {{r_{1}}^{4}}\ {{r_{2}}^{2}}}\right)}\ {{e}^{r_{1}}}}-{{{r_{2}}^{2}}\ {{X}^{4}}}+{{r_{1}}\ {{r_{2}}^{2}}\ {{X}^{3}}}+{{{r_{2}}^{4}}\ {{X}^{2}}}-{{r_{1}}\ {{r_{2}}^{4}}\  X}\right)}\ {{e}^{r_{2}}}}+{{\left({{{r_{1}}^{2}}\ {{X}^{4}}}-{{{r_{1}}^{2}}\ {r_{2}}\ {{X}^{3}}}-{{{r_{1}}^{4}}\ {{X}^{2}}}+{{{r_{1}}^{4}}\ {r_{2}}\  X}\right)}\ {{e}^{r_{1}}}}}{{\left({2 \ {{r_{1}}^{2}}\ {{r_{2}}^{4}}}-{2 \ {{r_{1}}^{4}}\ {{r_{2}}^{2}}}\right)}\ {{e}^{r_{1}}}\ {{e}^{r_{2}}}}(67)
    Type: Expression(Integer)
    fricas
    _rule(lhs eq5_6c,rhs eq5_6c)(%)
    
\label{eq68}\frac{{{\left({{r_{1}}\ {{X}^{3}}}+{{r_{1}}\ {r_{2}}\ {{X}^{2}}}-{{{r_{1}}^{3}}\  X}-{{{r_{1}}^{3}}\ {r_{2}}}\right)}\ {{e}^{r_{1}}}\ {{{e}^{r_{2}}}^{2}}}+{{\left({{\left(-{{r_{2}}\ {{X}^{3}}}-{{r_{1}}\ {r_{2}}\ {{X}^{2}}}+{{{r_{2}}^{3}}\  X}+{{r_{1}}\ {{r_{2}}^{3}}}\right)}\ {{{e}^{r_{1}}}^{2}}}+{{r_{2}}\ {{X}^{3}}}-{{r_{1}}\ {r_{2}}\ {{X}^{2}}}-{{{r_{2}}^{3}}\  X}+{{r_{1}}\ {{r_{2}}^{3}}}\right)}\ {{e}^{r_{2}}}}+{{\left(-{{r_{1}}\ {{X}^{3}}}+{{r_{1}}\ {r_{2}}\ {{X}^{2}}}+{{{r_{1}}^{3}}\  X}-{{{r_{1}}^{3}}\ {r_{2}}}\right)}\ {{e}^{r_{1}}}}}{{\left({2 \ {r_{1}}\ {{r_{2}}^{3}}}-{2 \ {{r_{1}}^{3}}\ {r_{2}}}\right)}\ {{e}^{r_{1}}}\ {{e}^{r_{2}}}}(68)
    Type: Expression(Integer)
    fricas
    test(normalize(% - rhs eq5_4) = 0)
    
\label{eq69} \mbox{\rm true} (69)
    Type: Boolean

  7. Multiple roots for polynomial of degree four

    Exercise 7.1

    fricas
    eval(eq4_1,r[4]=r[3])
    
\label{eq70}\begin{array}{@{}l}
\displaystyle
{m_{X}}={
\begin{array}{@{}l}
\displaystyle
{{x}^{4}}+{{\left(-{2 \ {r_{3}}}-{r_{2}}-{r_{1}}\right)}\ {{x}^{3}}}+ 
\
\
\displaystyle
{{\left({{r_{3}}^{2}}+{{\left({2 \ {r_{2}}}+{2 \ {r_{1}}}\right)}\ {r_{3}}}+{{r_{1}}\ {r_{2}}}\right)}\ {{x}^{2}}}+ 
\
\
\displaystyle
{{\left({{\left(-{r_{2}}-{r_{1}}\right)}\ {{r_{3}}^{2}}}-{2 \ {r_{1}}\ {r_{2}}\ {r_{3}}}\right)}\  x}+{{r_{1}}\ {r_{2}}\ {{r_{3}}^{2}}}
(70)
    Type: Equation(Polynomial(Integer))
    fricas
    eq6_1a:=lhs eq4_2 = limit(rhs eq4_2,r[4]=r[3])
    
\label{eq71}\begin{array}{@{}l}
\displaystyle
{g_{0}}= 
\
\
\displaystyle
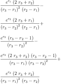
{\frac{{{\left({{\left(-{{r_{1}}\ {{r_{2}}^{2}}}+{{{r_{1}}^{2}}\ {r_{2}}}\right)}\ {{r_{3}}^{3}}}+{{\left({{r_{1}}\ {{r_{2}}^{3}}}+{3 \ {r_{1}}\ {{r_{2}}^{2}}}+{{\left(-{{r_{1}}^{3}}-{3 \ {{r_{1}}^{2}}}\right)}\ {r_{2}}}\right)}\ {{r_{3}}^{2}}}+{{\left({{\left(-{{r_{1}}^{2}}-{2 \ {r_{1}}}\right)}\ {{r_{2}}^{3}}}+{{{r_{1}}^{3}}\ {{r_{2}}^{2}}}+{2 \ {{r_{1}}^{3}}\ {r_{2}}}\right)}\ {r_{3}}}+{{{r_{1}}^{2}}\ {{r_{2}}^{3}}}-{{{r_{1}}^{3}}\ {{r_{2}}^{2}}}\right)}\ {{e}^{r_{3}}}}+{{\left(-{{r_{1}}\ {{r_{3}}^{4}}}+{2 \ {{r_{1}}^{2}}\ {{r_{3}}^{3}}}-{{{r_{1}}^{3}}\ {{r_{3}}^{2}}}\right)}\ {{e}^{r_{2}}}}+{{\left({{r_{2}}\ {{r_{3}}^{4}}}-{2 \ {{r_{2}}^{2}}\ {{r_{3}}^{3}}}+{{{r_{2}}^{3}}\ {{r_{3}}^{2}}}\right)}\ {{e}^{r_{1}}}}}{{{\left({r_{2}}-{r_{1}}\right)}\ {{r_{3}}^{4}}}+{{\left(-{2 \ {{r_{2}}^{2}}}+{2 \ {{r_{1}}^{2}}}\right)}\ {{r_{3}}^{3}}}+{{\left({{r_{2}}^{3}}+{3 \ {r_{1}}\ {{r_{2}}^{2}}}-{3 \ {{r_{1}}^{2}}\ {r_{2}}}-{{r_{1}}^{3}}\right)}\ {{r_{3}}^{2}}}+{{\left(-{2 \ {r_{1}}\ {{r_{2}}^{3}}}+{2 \ {{r_{1}}^{3}}\ {r_{2}}}\right)}\ {r_{3}}}+{{{r_{1}}^{2}}\ {{r_{2}}^{3}}}-{{{r_{1}}^{3}}\ {{r_{2}}^{2}}}}}
(71)
    Type: Equation(OrderedCompletion?(Expression(Integer)))
    fricas
    collect(rhs(eq6_1a), exp(r[1]))::OutputForm+collect(rhs(eq6_1a), exp(r[2]))::OutputForm+ _
      sum _
        [((factor numer x)/(factor denom x))::OutputForm _
           for x in collector(collect(rhs(eq6_1a), exp(r[3])),(r[3]-r[1])::Expression Integer)]
    fricas
    Compiling function collect with type (OrderedCompletion(Expression(
          Integer)), Expression(Integer)) -> Fraction(Factored(
          SparseMultivariatePolynomial(Integer,Kernel(Expression(Integer)))
          ))
    fricas
    Compiling function sum with type List(OutputForm) -> OutputForm
    
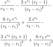
\label{eq72}\begin{array}{@{}l}
\displaystyle
{\frac{{r_{2}}\ {{r_{3}}^{2}}\ {{e}^{r_{1}}}}{{\left({r_{2}}-{r_{1}}\right)}\ {{\left({r_{3}}-{r_{1}}\right)}^{2}}}}- 
\
\
\displaystyle
{\frac{{r_{1}}\ {{r_{3}}^{2}}\ {{e}^{r_{2}}}}{{\left({r_{2}}-{r_{1}}\right)}\ {{\left({r_{3}}-{r_{2}}\right)}^{2}}}}+ 
\
\
\displaystyle
{\frac{{r_{2}}\ {\left({{r_{3}}^{2}}+{{\left(-{r_{2}}- 2 \right)}\ {r_{3}}}+{r_{2}}\right)}\ {{e}^{r_{3}}}}{{\left({r_{3}}-{r_{2}}\right)}^{2}}}- 
\
\
\displaystyle
{\frac{{r_{2}}\ {\left({r_{3}}-{r_{2}}- 1 \right)}\ {{r_{3}}^{2}}\ {{e}^{r_{3}}}}{{{\left({r_{3}}-{r_{2}}\right)}^{2}}\ {\left({r_{3}}-{r_{1}}\right)}}}+ 
\
\
\displaystyle
{\frac{{r_{2}}\ {{r_{3}}^{2}}\ {{e}^{r_{3}}}}{{\left({r_{3}}-{r_{2}}\right)}\ {{\left({r_{3}}-{r_{1}}\right)}^{2}}}}
(72)
    Type: OutputForm?
    fricas
    eq6_1b:=lhs eq4_3 = limit(rhs eq4_3,r[4]=r[3])
    
\label{eq73}\begin{array}{@{}l}
\displaystyle
{g_{1}}= 
\
\
\displaystyle
{\frac{{{\left({{\left({{r_{2}}^{2}}-{{r_{1}}^{2}}\right)}\ {{r_{3}}^{3}}}+{{\left(-{{r_{2}}^{3}}-{3 \ {{r_{2}}^{2}}}+{{r_{1}}^{3}}+{3 \ {{r_{1}}^{2}}}\right)}\ {{r_{3}}^{2}}}+{{\left({2 \ {{r_{2}}^{3}}}-{2 \ {{r_{1}}^{3}}}\right)}\ {r_{3}}}+{{{r_{1}}^{2}}\ {{r_{2}}^{3}}}-{{{r_{1}}^{3}}\ {{r_{2}}^{2}}}\right)}\ {{e}^{r_{3}}}}+{{\left({{r_{3}}^{4}}-{3 \ {{r_{1}}^{2}}\ {{r_{3}}^{2}}}+{2 \ {{r_{1}}^{3}}\ {r_{3}}}\right)}\ {{e}^{r_{2}}}}+{{\left(-{{r_{3}}^{4}}+{3 \ {{r_{2}}^{2}}\ {{r_{3}}^{2}}}-{2 \ {{r_{2}}^{3}}\ {r_{3}}}\right)}\ {{e}^{r_{1}}}}}{{{\left({r_{2}}-{r_{1}}\right)}\ {{r_{3}}^{4}}}+{{\left(-{2 \ {{r_{2}}^{2}}}+{2 \ {{r_{1}}^{2}}}\right)}\ {{r_{3}}^{3}}}+{{\left({{r_{2}}^{3}}+{3 \ {r_{1}}\ {{r_{2}}^{2}}}-{3 \ {{r_{1}}^{2}}\ {r_{2}}}-{{r_{1}}^{3}}\right)}\ {{r_{3}}^{2}}}+{{\left(-{2 \ {r_{1}}\ {{r_{2}}^{3}}}+{2 \ {{r_{1}}^{3}}\ {r_{2}}}\right)}\ {r_{3}}}+{{{r_{1}}^{2}}\ {{r_{2}}^{3}}}-{{{r_{1}}^{3}}\ {{r_{2}}^{2}}}}}
(73)
    Type: Equation(OrderedCompletion?(Expression(Integer)))
    fricas
    collect(rhs(eq6_1b), exp(r[1]))::OutputForm+collect(rhs(eq6_1b), exp(r[2]))::OutputForm+ _
      sum _
        [((factor numer x)/(factor denom x))::OutputForm _
           for x in collector(collect(rhs(eq6_1b), exp(r[3])),(r[3]-r[1])::Expression Integer)]
    
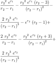
\label{eq74}\begin{array}{@{}l}
\displaystyle
-{\frac{{r_{3}}\ {\left({r_{3}}+{2 \ {r_{2}}}\right)}\ {{e}^{r_{1}}}}{{\left({r_{2}}-{r_{1}}\right)}\ {{\left({r_{3}}-{r_{1}}\right)}^{2}}}}+ 
\
\
\displaystyle
{\frac{{r_{3}}\ {\left({r_{3}}+{2 \ {r_{1}}}\right)}\ {{e}^{r_{2}}}}{{\left({r_{2}}-{r_{1}}\right)}\ {{\left({r_{3}}-{r_{2}}\right)}^{2}}}}- 
\
\
\displaystyle
{\frac{{\left({{r_{3}}^{2}}-{2 \ {r_{3}}}-{{r_{2}}^{2}}\right)}\ {{e}^{r_{3}}}}{{\left({r_{3}}-{r_{2}}\right)}^{2}}}+ 
\
\
\displaystyle
{\frac{{\left({r_{3}}-{r_{2}}- 1 \right)}\ {r_{3}}\ {\left({r_{3}}+{2 \ {r_{2}}}\right)}\ {{e}^{r_{3}}}}{{{\left({r_{3}}-{r_{2}}\right)}^{2}}\ {\left({r_{3}}-{r_{1}}\right)}}}- 
\
\
\displaystyle
{\frac{{r_{3}}\ {\left({r_{3}}+{2 \ {r_{2}}}\right)}\ {{e}^{r_{3}}}}{{\left({r_{3}}-{r_{2}}\right)}\ {{\left({r_{3}}-{r_{1}}\right)}^{2}}}}
(74)
    Type: OutputForm?
    fricas
    eq6_1c:=lhs eq4_4 = limit(rhs eq4_4,r[4]=r[3])
    
\label{eq75}\begin{array}{@{}l}
\displaystyle
{g_{2}}= 
\
\
\displaystyle
{\frac{{{\left({{\left(-{r_{2}}+{r_{1}}\right)}\ {{r_{3}}^{3}}}+{{\left({3 \ {r_{2}}}-{3 \ {r_{1}}}\right)}\ {{r_{3}}^{2}}}+{{\left({{r_{2}}^{3}}-{{r_{1}}^{3}}\right)}\ {r_{3}}}+{{\left(-{r_{1}}- 1 \right)}\ {{r_{2}}^{3}}}+{{{r_{1}}^{3}}\ {r_{2}}}+{{r_{1}}^{3}}\right)}\ {{e}^{r_{3}}}}+{{\left(-{2 \ {{r_{3}}^{3}}}+{3 \ {r_{1}}\ {{r_{3}}^{2}}}-{{r_{1}}^{3}}\right)}\ {{e}^{r_{2}}}}+{{\left({2 \ {{r_{3}}^{3}}}-{3 \ {r_{2}}\ {{r_{3}}^{2}}}+{{r_{2}}^{3}}\right)}\ {{e}^{r_{1}}}}}{{{\left({r_{2}}-{r_{1}}\right)}\ {{r_{3}}^{4}}}+{{\left(-{2 \ {{r_{2}}^{2}}}+{2 \ {{r_{1}}^{2}}}\right)}\ {{r_{3}}^{3}}}+{{\left({{r_{2}}^{3}}+{3 \ {r_{1}}\ {{r_{2}}^{2}}}-{3 \ {{r_{1}}^{2}}\ {r_{2}}}-{{r_{1}}^{3}}\right)}\ {{r_{3}}^{2}}}+{{\left(-{2 \ {r_{1}}\ {{r_{2}}^{3}}}+{2 \ {{r_{1}}^{3}}\ {r_{2}}}\right)}\ {r_{3}}}+{{{r_{1}}^{2}}\ {{r_{2}}^{3}}}-{{{r_{1}}^{3}}\ {{r_{2}}^{2}}}}}
(75)
    Type: Equation(OrderedCompletion?(Expression(Integer)))
    fricas
    collect(rhs(eq6_1c), exp(r[1]))::OutputForm+collect(rhs(eq6_1c), exp(r[2]))::OutputForm+ _
      sum _
        [((factor numer x)/(factor denom x))::OutputForm _
           for x in collector(collect(rhs(eq6_1c), exp(r[3])),(r[3]-r[1])::Expression Integer)]
    
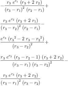
\label{eq76}\begin{array}{@{}l}
\displaystyle
{\frac{{\left({2 \ {r_{3}}}+{r_{2}}\right)}\ {{e}^{r_{1}}}}{{\left({r_{2}}-{r_{1}}\right)}\ {{\left({r_{3}}-{r_{1}}\right)}^{2}}}}- 
\
\
\displaystyle
{\frac{{\left({2 \ {r_{3}}}+{r_{1}}\right)}\ {{e}^{r_{2}}}}{{\left({r_{2}}-{r_{1}}\right)}\ {{\left({r_{3}}-{r_{2}}\right)}^{2}}}}+ 
\
\
\displaystyle
{\frac{{\left({r_{3}}-{r_{2}}- 1 \right)}\ {{e}^{r_{3}}}}{{\left({r_{3}}-{r_{2}}\right)}^{2}}}- 
\
\
\displaystyle
{\frac{{\left({r_{3}}-{r_{2}}- 1 \right)}\ {\left({2 \ {r_{3}}}+{r_{2}}\right)}\ {{e}^{r_{3}}}}{{{\left({r_{3}}-{r_{2}}\right)}^{2}}\ {\left({r_{3}}-{r_{1}}\right)}}}+ 
\
\
\displaystyle
{\frac{{\left({2 \ {r_{3}}}+{r_{2}}\right)}\ {{e}^{r_{3}}}}{{\left({r_{3}}-{r_{2}}\right)}\ {{\left({r_{3}}-{r_{1}}\right)}^{2}}}}
(76)
    Type: OutputForm?
    fricas
    eq6_1d:=lhs eq4_5 = limit(rhs eq4_5,r[4]=r[3])
    
\label{eq77}\begin{array}{@{}l}
\displaystyle
{g_{3}}= 
\
\
\displaystyle
{\frac{{{\left({{\left({r_{2}}-{r_{1}}\right)}\ {{r_{3}}^{2}}}+{{\left(-{{r_{2}}^{2}}-{2 \ {r_{2}}}+{{r_{1}}^{2}}+{2 \ {r_{1}}}\right)}\ {r_{3}}}+{{\left({r_{1}}+ 1 \right)}\ {{r_{2}}^{2}}}-{{{r_{1}}^{2}}\ {r_{2}}}-{{r_{1}}^{2}}\right)}\ {{e}^{r_{3}}}}+{{\left({{r_{3}}^{2}}-{2 \ {r_{1}}\ {r_{3}}}+{{r_{1}}^{2}}\right)}\ {{e}^{r_{2}}}}+{{\left(-{{r_{3}}^{2}}+{2 \ {r_{2}}\ {r_{3}}}-{{r_{2}}^{2}}\right)}\ {{e}^{r_{1}}}}}{{{\left({r_{2}}-{r_{1}}\right)}\ {{r_{3}}^{4}}}+{{\left(-{2 \ {{r_{2}}^{2}}}+{2 \ {{r_{1}}^{2}}}\right)}\ {{r_{3}}^{3}}}+{{\left({{r_{2}}^{3}}+{3 \ {r_{1}}\ {{r_{2}}^{2}}}-{3 \ {{r_{1}}^{2}}\ {r_{2}}}-{{r_{1}}^{3}}\right)}\ {{r_{3}}^{2}}}+{{\left(-{2 \ {r_{1}}\ {{r_{2}}^{3}}}+{2 \ {{r_{1}}^{3}}\ {r_{2}}}\right)}\ {r_{3}}}+{{{r_{1}}^{2}}\ {{r_{2}}^{3}}}-{{{r_{1}}^{3}}\ {{r_{2}}^{2}}}}}
(77)
    Type: Equation(OrderedCompletion?(Expression(Integer)))
    fricas
    collect(rhs(eq6_1d), exp(r[1]))::OutputForm+collect(rhs(eq6_1d), exp(r[2]))::OutputForm+ _
      sum _
        [((factor numer x)/(factor denom x))::OutputForm _
           for x in collector(collect(rhs(eq6_1d), exp(r[3])),(r[3]-r[1])::Expression Integer)]
    
\label{eq78}\begin{array}{@{}l}
\displaystyle
-{\frac{{e}^{r_{1}}}{{\left({r_{2}}-{r_{1}}\right)}\ {{\left({r_{3}}-{r_{1}}\right)}^{2}}}}+ 
\
\
\displaystyle
{\frac{{e}^{r_{2}}}{{\left({r_{2}}-{r_{1}}\right)}\ {{\left({r_{3}}-{r_{2}}\right)}^{2}}}}+ 
\
\
\displaystyle
{\frac{{\left({r_{3}}-{r_{2}}- 1 \right)}\ {{e}^{r_{3}}}}{{{\left({r_{3}}-{r_{2}}\right)}^{2}}\ {\left({r_{3}}-{r_{1}}\right)}}}- \
\
\displaystyle
{\frac{{e}^{r_{3}}}{{\left({r_{3}}-{r_{2}}\right)}\ {{\left({r_{3}}-{r_{1}}\right)}^{2}}}}
(78)
    Type: OutputForm?

    Exercise 7.3 (Double root)

    fricas
    eval(eq4_1,[r[3]=r[1],r[4]=r[2]])
    
\label{eq79}\begin{array}{@{}l}
\displaystyle
{m_{X}}={
\begin{array}{@{}l}
\displaystyle
{{x}^{4}}+{{\left(-{2 \ {r_{2}}}-{2 \ {r_{1}}}\right)}\ {{x}^{3}}}+{{\left({{r_{2}}^{2}}+{4 \ {r_{1}}\ {r_{2}}}+{{r_{1}}^{2}}\right)}\ {{x}^{2}}}+ 
\
\
\displaystyle
{{\left(-{2 \ {r_{1}}\ {{r_{2}}^{2}}}-{2 \ {{r_{1}}^{2}}\ {r_{2}}}\right)}\  x}+{{{r_{1}}^{2}}\ {{r_{2}}^{2}}}
(79)
    Type: Equation(Polynomial(Integer))
    fricas
    eq6_3a:=lhs eq4_2 = limit(limit(rhs eq4_2,r[3]=r[1]),r[4]=r[2])
    
\label{eq80}\begin{array}{@{}l}
\displaystyle
{g_{0}}= 
\
\
\displaystyle
{\frac{{{\left(-{{{r_{1}}^{2}}\ {{r_{2}}^{2}}}+{{\left({{r_{1}}^{3}}+{3 \ {{r_{1}}^{2}}}\right)}\ {r_{2}}}-{{r_{1}}^{3}}\right)}\ {{e}^{r_{2}}}}+{{\left({{\left(-{r_{1}}+ 1 \right)}\ {{r_{2}}^{3}}}+{{\left({{r_{1}}^{2}}-{3 \ {r_{1}}}\right)}\ {{r_{2}}^{2}}}\right)}\ {{e}^{r_{1}}}}}{{{r_{2}}^{3}}-{3 \ {r_{1}}\ {{r_{2}}^{2}}}+{3 \ {{r_{1}}^{2}}\ {r_{2}}}-{{r_{1}}^{3}}}}
(80)
    Type: Equation(OrderedCompletion?(Expression(Integer)))
    fricas
    sum concat( _
      [((factor numer x)/(factor denom x))::OutputForm _
         for x in collector(collect(rhs(eq6_3a), exp(r[1])),(r[2]-r[1])::Expression Integer)] , _
      [((factor numer x)/(factor denom x))::OutputForm _
         for x in collector(collect(rhs(eq6_3a), exp(r[2])),(r[2]-r[1])::Expression Integer)] )
    
\label{eq81}\begin{array}{@{}l}
\displaystyle
{\frac{{{r_{2}}^{2}}\ {{e}^{r_{1}}}}{{r_{2}}-{r_{1}}}}-{\frac{{\left({r_{2}}- 3 \right)}\ {{r_{2}}^{2}}\ {{e}^{r_{1}}}}{{\left({r_{2}}-{r_{1}}\right)}^{2}}}- 
\
\
\displaystyle
{\frac{2 \ {{r_{2}}^{3}}\ {{e}^{r_{1}}}}{{\left({r_{2}}-{r_{1}}\right)}^{3}}}-{{\left({r_{2}}- 1 \right)}\ {{e}^{r_{2}}}}+ 
\
\
\displaystyle
{\frac{2 \ {{r_{2}}^{2}}\ {{e}^{r_{2}}}}{{r_{2}}-{r_{1}}}}-{\frac{{{r_{2}}^{2}}\ {\left({r_{2}}+ 3 \right)}\ {{e}^{r_{2}}}}{{\left({r_{2}}-{r_{1}}\right)}^{2}}}+ 
\
\
\displaystyle
{\frac{2 \ {{r_{2}}^{3}}\ {{e}^{r_{2}}}}{{\left({r_{2}}-{r_{1}}\right)}^{3}}}
(81)
    Type: OutputForm?
    fricas
    eq6_3b:=lhs eq4_3 = limit(limit(rhs eq4_3,r[3]=r[1]),r[4]=r[2])
    
\label{eq82}\begin{array}{@{}l}
\displaystyle
{g_{1}}= 
\
\
\displaystyle
{\frac{{{\left({2 \ {r_{1}}\ {{r_{2}}^{2}}}+{{\left(-{{r_{1}}^{2}}-{6 \ {r_{1}}}\right)}\ {r_{2}}}-{{r_{1}}^{3}}\right)}\ {{e}^{r_{2}}}}+{{\left({{r_{2}}^{3}}+{{r_{1}}\ {{r_{2}}^{2}}}+{{\left(-{2 \ {{r_{1}}^{2}}}+{6 \ {r_{1}}}\right)}\ {r_{2}}}\right)}\ {{e}^{r_{1}}}}}{{{r_{2}}^{3}}-{3 \ {r_{1}}\ {{r_{2}}^{2}}}+{3 \ {{r_{1}}^{2}}\ {r_{2}}}-{{r_{1}}^{3}}}}
(82)
    Type: Equation(OrderedCompletion?(Expression(Integer)))
    fricas
    sum concat( _
      [((factor numer x)/(factor denom x))::OutputForm _
         for x in collector(collect(rhs(eq6_3b), exp(r[1])),(r[2]-r[1])::Expression Integer)] , _
      [((factor numer x)/(factor denom x))::OutputForm _
         for x in collector(collect(rhs(eq6_3b), exp(r[2])),(r[2]-r[1])::Expression Integer)] )
    
\label{eq83}\begin{array}{@{}l}
\displaystyle
-{\frac{2 \ {r_{2}}\ {{e}^{r_{1}}}}{{r_{2}}-{r_{1}}}}+{\frac{3 \ {\left({r_{2}}- 2 \right)}\ {r_{2}}\ {{e}^{r_{1}}}}{{\left({r_{2}}-{r_{1}}\right)}^{2}}}+ 
\
\
\displaystyle
{\frac{6 \ {{r_{2}}^{2}}\ {{e}^{r_{1}}}}{{\left({r_{2}}-{r_{1}}\right)}^{3}}}+{{e}^{r_{2}}}-{\frac{4 \ {r_{2}}\ {{e}^{r_{2}}}}{{r_{2}}-{r_{1}}}}+ 
\
\
\displaystyle
{\frac{3 \ {r_{2}}\ {\left({r_{2}}+ 2 \right)}\ {{e}^{r_{2}}}}{{\left({r_{2}}-{r_{1}}\right)}^{2}}}-{\frac{6 \ {{r_{2}}^{2}}\ {{e}^{r_{2}}}}{{\left({r_{2}}-{r_{1}}\right)}^{3}}}
(83)
    Type: OutputForm?
    fricas
    eq6_3c:=lhs eq4_4 = limit(limit(rhs eq4_4,r[3]=r[1]),r[4]=r[2])
    
\label{eq84}\begin{array}{@{}l}
\displaystyle
{g_{2}}= 
\
\
\displaystyle
{\frac{{{\left(-{{r_{2}}^{2}}+{{\left(-{r_{1}}+ 3 \right)}\ {r_{2}}}+{2 \ {{r_{1}}^{2}}}+{3 \ {r_{1}}}\right)}\ {{e}^{r_{2}}}}+{{\left(-{2 \ {{r_{2}}^{2}}}+{{\left({r_{1}}- 3 \right)}\ {r_{2}}}+{{r_{1}}^{2}}-{3 \ {r_{1}}}\right)}\ {{e}^{r_{1}}}}}{{{r_{2}}^{3}}-{3 \ {r_{1}}\ {{r_{2}}^{2}}}+{3 \ {{r_{1}}^{2}}\ {r_{2}}}-{{r_{1}}^{3}}}}
(84)
    Type: Equation(OrderedCompletion?(Expression(Integer)))
    fricas
    sum concat( _
      [((factor numer x)/(factor denom x))::OutputForm _
         for x in collector(collect(rhs(eq6_3c), exp(r[1])),(r[2]-r[1])::Expression Integer)] , _
      [((factor numer x)/(factor denom x))::OutputForm _
         for x in collector(collect(rhs(eq6_3c), exp(r[2])),(r[2]-r[1])::Expression Integer)] )
    
\label{eq85}\begin{array}{@{}l}
\displaystyle
{\frac{{e}^{r_{1}}}{{r_{2}}-{r_{1}}}}-{\frac{3 \ {\left({r_{2}}- 1 \right)}\ {{e}^{r_{1}}}}{{\left({r_{2}}-{r_{1}}\right)}^{2}}}- 
\
\
\displaystyle
{\frac{6 \ {r_{2}}\ {{e}^{r_{1}}}}{{\left({r_{2}}-{r_{1}}\right)}^{3}}}+{\frac{2 \ {{e}^{r_{2}}}}{{r_{2}}-{r_{1}}}}- 
\
\
\displaystyle
{\frac{3 \ {\left({r_{2}}+ 1 \right)}\ {{e}^{r_{2}}}}{{\left({r_{2}}-{r_{1}}\right)}^{2}}}+{\frac{6 \ {r_{2}}\ {{e}^{r_{2}}}}{{\left({r_{2}}-{r_{1}}\right)}^{3}}}
(85)
    Type: OutputForm?
    fricas
    eq6_3d:=lhs eq4_5 = limit(limit(rhs eq4_5,r[3]=r[1]),r[4]=r[2])
    
\label{eq86}\begin{array}{@{}l}
\displaystyle
{g_{3}}= 
\
\
\displaystyle
{\frac{{{\left({r_{2}}-{r_{1}}- 2 \right)}\ {{e}^{r_{2}}}}+{{\left({r_{2}}-{r_{1}}+ 2 \right)}\ {{e}^{r_{1}}}}}{{{r_{2}}^{3}}-{3 \ {r_{1}}\ {{r_{2}}^{2}}}+{3 \ {{r_{1}}^{2}}\ {r_{2}}}-{{r_{1}}^{3}}}}
(86)
    Type: Equation(OrderedCompletion?(Expression(Integer)))
    fricas
    sum concat( _
      [((factor numer x)/(factor denom x))::OutputForm _
         for x in collector(collect(rhs(eq6_3d), exp(r[1])),(r[2]-r[1])::Expression Integer)] , _
      [((factor numer x)/(factor denom x))::OutputForm _
         for x in collector(collect(rhs(eq6_3d), exp(r[2])),(r[2]-r[1])::Expression Integer)] )
    
\label{eq87}\begin{array}{@{}l}
\displaystyle
{\frac{{e}^{r_{1}}}{{\left({r_{2}}-{r_{1}}\right)}^{2}}}+{\frac{2 \ {{e}^{r_{1}}}}{{\left({r_{2}}-{r_{1}}\right)}^{3}}}+ 
\
\
\displaystyle
{\frac{{e}^{r_{2}}}{{\left({r_{2}}-{r_{1}}\right)}^{2}}}-{\frac{2 \ {{e}^{r_{2}}}}{{\left({r_{2}}-{r_{1}}\right)}^{3}}}
(87)
    Type: OutputForm?

    Exercise 7.4 (Triple root)

    fricas
    eval(eq4_1,[r[3]=r[2],r[4]=r[2]])
    
\label{eq88}\begin{array}{@{}l}
\displaystyle
{m_{X}}={
\begin{array}{@{}l}
\displaystyle
{{x}^{4}}+{{\left(-{3 \ {r_{2}}}-{r_{1}}\right)}\ {{x}^{3}}}+{{\left({3 \ {{r_{2}}^{2}}}+{3 \ {r_{1}}\ {r_{2}}}\right)}\ {{x}^{2}}}+ 
\
\
\displaystyle
{{\left(-{{r_{2}}^{3}}-{3 \ {r_{1}}\ {{r_{2}}^{2}}}\right)}\  x}+{{r_{1}}\ {{r_{2}}^{3}}}
(88)
    Type: Equation(Polynomial(Integer))
    fricas
    eq6_4a:=lhs eq4_2 = limit(limit(rhs eq4_2,r[3]=r[2]),r[4]=r[2])
    
\label{eq89}\begin{array}{@{}l}
\displaystyle
{g_{0}}= 
\
\
\displaystyle
{\frac{{{\left(-{{r_{1}}\ {{r_{2}}^{4}}}+{{\left({2 \ {{r_{1}}^{2}}}+{4 \ {r_{1}}}\right)}\ {{r_{2}}^{3}}}+{{\left(-{{r_{1}}^{3}}-{6 \ {{r_{1}}^{2}}}-{6 \ {r_{1}}}\right)}\ {{r_{2}}^{2}}}+{{\left({2 \ {{r_{1}}^{3}}}+{6 \ {{r_{1}}^{2}}}\right)}\ {r_{2}}}-{2 \ {{r_{1}}^{3}}}\right)}\ {{e}^{r_{2}}}}+{2 \ {{r_{2}}^{3}}\ {{e}^{r_{1}}}}}{{2 \ {{r_{2}}^{3}}}-{6 \ {r_{1}}\ {{r_{2}}^{2}}}+{6 \ {{r_{1}}^{2}}\ {r_{2}}}-{2 \ {{r_{1}}^{3}}}}}
(89)
    Type: Equation(OrderedCompletion?(Expression(Integer)))
    fricas
    sum concat(collect(rhs(eq6_4a), exp(r[1]))::OutputForm, _
      [((factor numer x)/(factor denom x))::OutputForm _
         for x in collector(collect(rhs(eq6_4a), exp(r[2])),(r[2]-r[1])::Expression Integer)] )
    >> Error detected within library code: "failed" of mode Union(SparseMultivariatePolynomial(Integer,Kernel(Expression(Integer))),"failed") cannot be coerced to mode SparseMultivariatePolynomial(Integer,Kernel(Expression(Integer)))

  8. Parabolic isometries: single many-fold root

    Exercise 8.1 (Degree two)

    fricas
    eval(eq2_2,[r[2]=r[1]])
    
\label{eq90}{{e}^{X}}={{{g_{1}}\  X}+{g_{0}}}(90)
    Type: Equation(Expression(Integer))
    fricas
    lhs eq2_3a = limit(rhs eq2_3a,r[2]=r[1])
    
\label{eq91}{g_{0}}={{\left(-{r_{1}}+ 1 \right)}\ {{e}^{r_{1}}}}(91)
    Type: Equation(OrderedCompletion?(Expression(Integer)))
    fricas
    lhs eq2_3b = limit(rhs eq2_3b,r[2]=r[1])
    
\label{eq92}{g_{1}}={{e}^{r_{1}}}(92)
    Type: Equation(OrderedCompletion?(Expression(Integer)))

    Exercise 8.2 (Triple root)

    fricas
    eval(eq3_1,[r[2]=r[1],r[3]=r[1]])
    
\label{eq93}{m_{X}}={{{x}^{3}}-{3 \ {r_{1}}\ {{x}^{2}}}+{3 \ {{r_{1}}^{2}}\  x}-{{r_{1}}^{3}}}(93)
    Type: Equation(Polynomial(Integer))
    fricas
    lhs eq3_3a = limit(limit(rhs eq3_3a,r[2]=r[1]),r[3]=r[1])
    
\label{eq94}{g_{0}}={\frac{{\left({{r_{1}}^{2}}-{2 \ {r_{1}}}+ 2 \right)}\ {{e}^{r_{1}}}}{2}}(94)
    Type: Equation(OrderedCompletion?(Expression(Integer)))
    fricas
    lhs eq3_3b = limit(limit(rhs eq3_3b,r[2]=r[1]),r[3]=r[1])
    
\label{eq95}{g_{1}}={{\left(-{r_{1}}+ 1 \right)}\ {{e}^{r_{1}}}}(95)
    Type: Equation(OrderedCompletion?(Expression(Integer)))
    fricas
    lhs eq3_3c = limit(limit(rhs eq3_3c,r[2]=r[1]),r[3]=r[1])
    
\label{eq96}{g_{2}}={\frac{{e}^{r_{1}}}{2}}(96)
    Type: Equation(OrderedCompletion?(Expression(Integer)))

    Exercise 8.3 (Fourfold root)

    fricas
    eval(eq4_1,[r[2]=r[1],r[3]=r[1],r[4]=r[1]])
    
\label{eq97}{m_{X}}={{{x}^{4}}-{4 \ {r_{1}}\ {{x}^{3}}}+{6 \ {{r_{1}}^{2}}\ {{x}^{2}}}-{4 \ {{r_{1}}^{3}}\  x}+{{r_{1}}^{4}}}(97)
    Type: Equation(Polynomial(Integer))
    fricas
    lhs eq4_2 = limit(limit(limit(rhs eq4_2,r[2]=r[1]),r[3]=r[1]),r[4]=r[1])
    
\label{eq98}{g_{0}}={\frac{{\left(-{{r_{1}}^{3}}+{3 \ {{r_{1}}^{2}}}-{6 \ {r_{1}}}+ 6 \right)}\ {{e}^{r_{1}}}}{6}}(98)
    Type: Equation(OrderedCompletion?(Expression(Integer)))
    fricas
    lhs eq4_3 = limit(limit(limit(rhs eq4_3,r[2]=r[1]),r[3]=r[1]),r[4]=r[1])
    
\label{eq99}{g_{1}}={\frac{{\left({{r_{1}}^{2}}-{2 \ {r_{1}}}+ 2 \right)}\ {{e}^{r_{1}}}}{2}}(99)
    Type: Equation(OrderedCompletion?(Expression(Integer)))
    fricas
    lhs eq4_4 = limit(limit(limit(rhs eq4_4,r[2]=r[1]),r[3]=r[1]),r[4]=r[1])
    
\label{eq100}{g_{2}}={\frac{{\left(-{r_{1}}+ 1 \right)}\ {{e}^{r_{1}}}}{2}}(100)
    Type: Equation(OrderedCompletion?(Expression(Integer)))
    fricas
    lhs eq4_5 = limit(limit(limit(rhs eq4_5,r[2]=r[1]),r[3]=r[1]),r[4]=r[1])
    
\label{eq101}{g_{3}}={\frac{{e}^{r_{1}}}{6}}(101)
    Type: Equation(OrderedCompletion?(Expression(Integer)))

SandBoxCollect




  Subject:   Be Bold !!
  ( 15 subscribers )  
Please rate this page: